Open Access

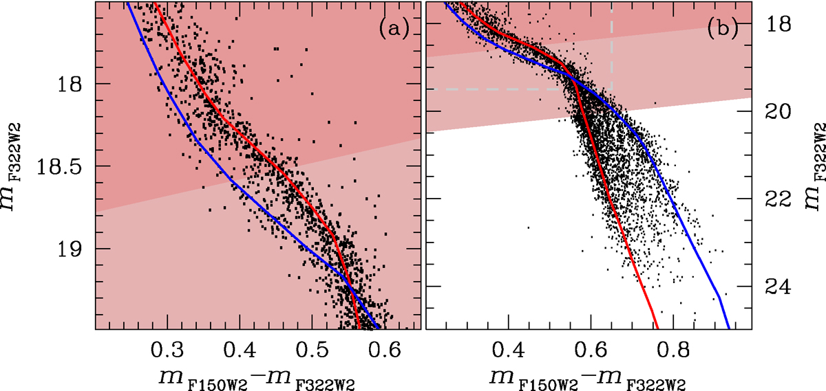
Fig. 8.

image

Download original image

mF322W2 versus mF150W2 − mF322W2 CMDs of our selected sample of stars, focusing on the upper-MS (panel a) and the entire MS (panel b), with the two fiducials used to generate the ASs. The dashed grey rectangle in panel b highlights the CMD region displayed in panel a. The blue fiducial corresponds to the bMS, while the red fiducial corresponds to the rMS. In the upper part of the MS, the bMS occupies the blue side of the CMD, while the rMS is on the red side. Below the intersection point, the two sequences switch positions. The shaded light red and dark red regions highlight areas of the CMDs affected by mild and severe saturation, respectively.

Current usage metrics show cumulative count of Article Views (full-text article views including HTML views, PDF and ePub downloads, according to the available data) and Abstracts Views on Vision4Press platform.

Data correspond to usage on the plateform after 2015. The current usage metrics is available 48-96 hours after online publication and is updated daily on week days.

Initial download of the metrics may take a while.