Open Access

Fig. 9.

image

Download original image

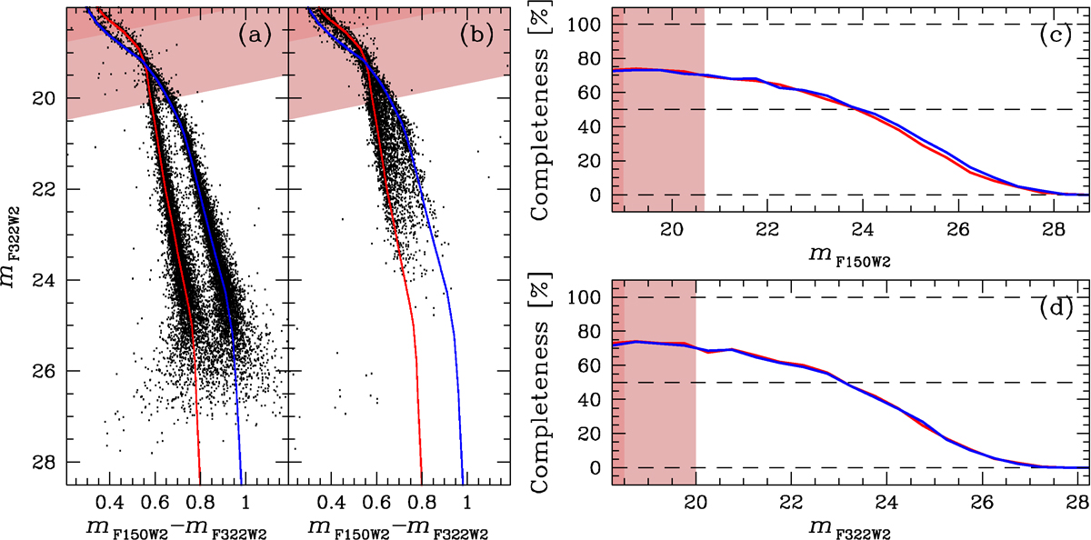
(a) Injected ASs for the two sequences (blue and red points) in the mF150W2 versus mF150W2 − mF322W2 CMD. Recovered ASs are represented in black. (b) Same as panel (a), but the black points now represent the real stars. (c)–(d) Completeness as a function of the mF150W2 and mF322W2 magnitude, respectively. The completeness for each sequence is represented using the same colour scheme as in panel (a). Shaded light red and dark red areas qualitatively mark magnitude ranges where MS stars are mildly or severely saturated in at least one filter.

Current usage metrics show cumulative count of Article Views (full-text article views including HTML views, PDF and ePub downloads, according to the available data) and Abstracts Views on Vision4Press platform.

Data correspond to usage on the plateform after 2015. The current usage metrics is available 48-96 hours after online publication and is updated daily on week days.

Initial download of the metrics may take a while.