Open Access

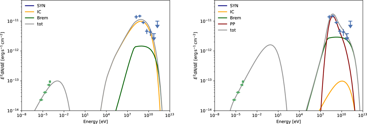
Fig. 9

image

Download original image

Multi-wavelength SED of the Kes 73-MC interaction region (‘bright region’ in Fig. 4) in a pure leptonic (left) and lepto-hadronic scenario (right). The model parameters are listed in Table 3. Blue, yellow, and green lines indicate the synchrotron, IC, and bremsstrahlung emission contribution from the same electron distribution, respectively. The red line indicates the proton-proton emission from CR protons.

Current usage metrics show cumulative count of Article Views (full-text article views including HTML views, PDF and ePub downloads, according to the available data) and Abstracts Views on Vision4Press platform.

Data correspond to usage on the plateform after 2015. The current usage metrics is available 48-96 hours after online publication and is updated daily on week days.

Initial download of the metrics may take a while.