Open Access

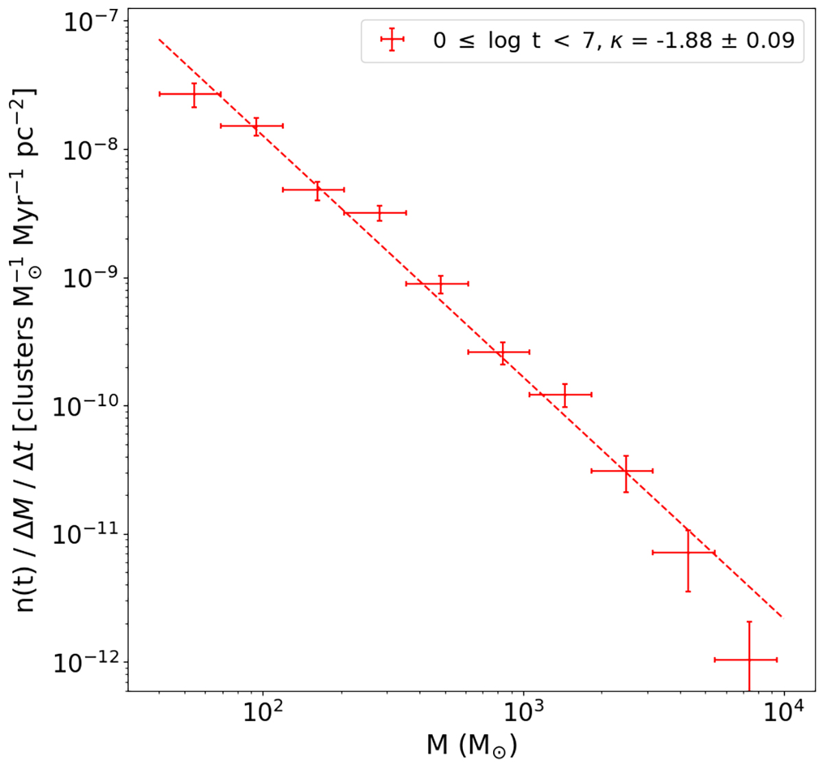
Fig. 1.

image

Download original image

Completeness-corrected mass function for the compact OCs from HR24 younger than 10 Myr, including their power-law fit.

Current usage metrics show cumulative count of Article Views (full-text article views including HTML views, PDF and ePub downloads, according to the available data) and Abstracts Views on Vision4Press platform.

Data correspond to usage on the plateform after 2015. The current usage metrics is available 48-96 hours after online publication and is updated daily on week days.

Initial download of the metrics may take a while.