Open Access

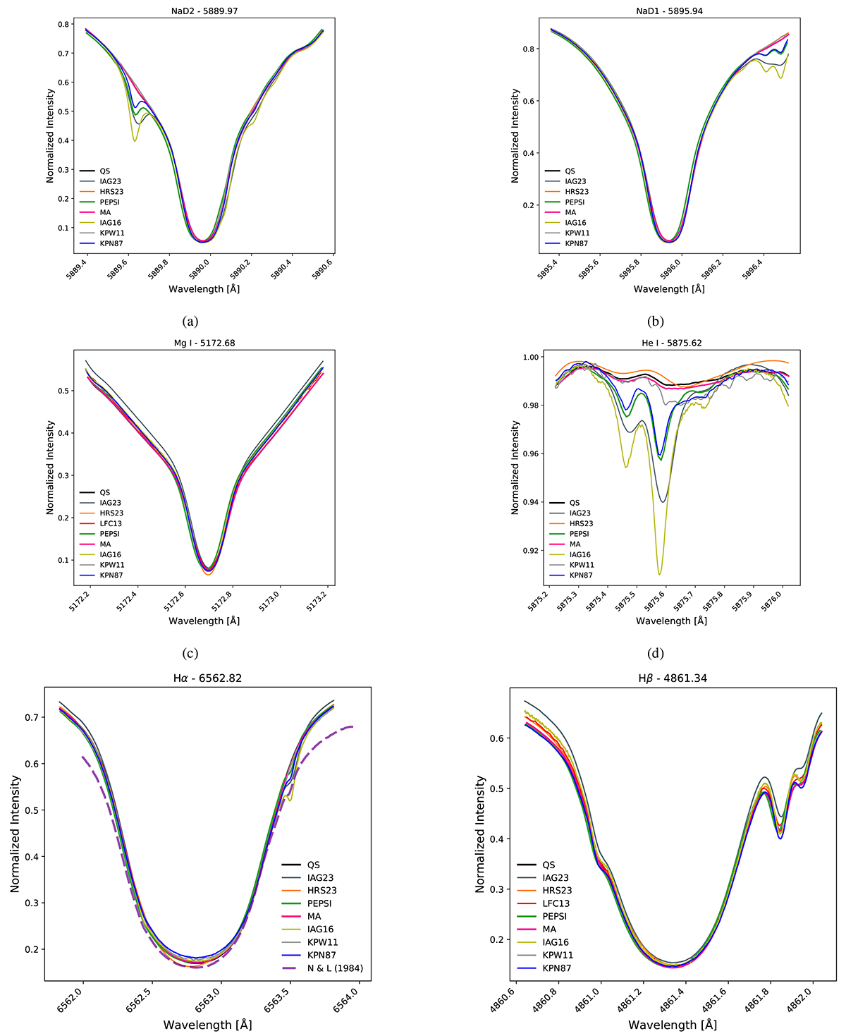
Fig. 18.

image

Download original image

Illustration of some of the most-investigated broad lines present in the atlases studied in this manuscript. For comparison, we have included the Hα line from the disc-centre atlas by Neckel & Labs (1984) which was obtained from Diaz Baso et al. (2021).

Current usage metrics show cumulative count of Article Views (full-text article views including HTML views, PDF and ePub downloads, according to the available data) and Abstracts Views on Vision4Press platform.

Data correspond to usage on the plateform after 2015. The current usage metrics is available 48-96 hours after online publication and is updated daily on week days.

Initial download of the metrics may take a while.