Open Access

Fig. 8.

image

Download original image

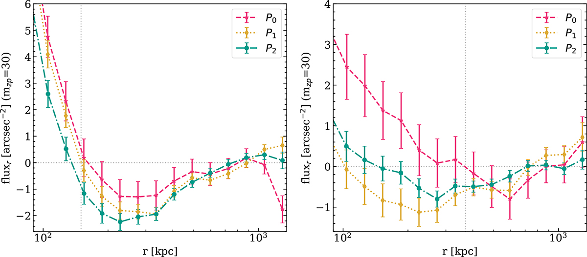
Radial flux profiles of the stacked CG galaxies for the three background-subtraction models tested in this work. The left panel shows profiles of the brightest magnitude bin (mean Mr ≈ −23.4 mag) and the right panel shows the faintest magnitude bin we considered at 0.09 ≤ z ≤ 0.15. From the central region out to 100 kpc (not shown here), their light retention is similar. For the brightest CG bin (left panel), beyond 150 kpc (vertical dotted line), the 0th order background-subtracted images (p0) have better retention of light compared to the other two. However, considering the flattening of the profiles in the far outskirts (beyond 500 kpc) as the true sky background, the extended CG profiles between 150 and 500 kpc are over-subtracted for all three background-subtraction models. For the faintest CG bin (right panel), the p0 case shows a much better light retention compared to the brightest bin, out to 380 kpc (vertical dotted line). The p1 and p2 cases, however, show a similar level of over-subtraction compared to the brightest bin. Both of these panels demonstrate that the p0 background subtraction method has the best performance for retaining the extended faint light around the group CGs.

Current usage metrics show cumulative count of Article Views (full-text article views including HTML views, PDF and ePub downloads, according to the available data) and Abstracts Views on Vision4Press platform.

Data correspond to usage on the plateform after 2015. The current usage metrics is available 48-96 hours after online publication and is updated daily on week days.

Initial download of the metrics may take a while.