Open Access

Fig. 3.

image

Download original image

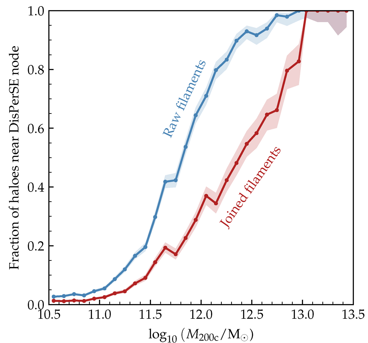
Fraction of haloes that mark the endpoint of filaments. Shown is the fraction of FoF haloes, in 0.1 dex bins of M200c, that are within 500 kpc of a cosmic web node as identified by DisPerSE (blue: all nodes, red: only those at the end of a joined filament; see text). Shaded bands represent the binomial 1σ uncertainty on the fraction. There is no single mass threshold above which haloes become filament endpoints, but for the joined filaments the transition occurs broadly at the scale of massive galaxies (M200c ≈ 2 ⋅ 1012 M).

Current usage metrics show cumulative count of Article Views (full-text article views including HTML views, PDF and ePub downloads, according to the available data) and Abstracts Views on Vision4Press platform.

Data correspond to usage on the plateform after 2015. The current usage metrics is available 48-96 hours after online publication and is updated daily on week days.

Initial download of the metrics may take a while.