Open Access

Fig. C.3.

image

Download original image

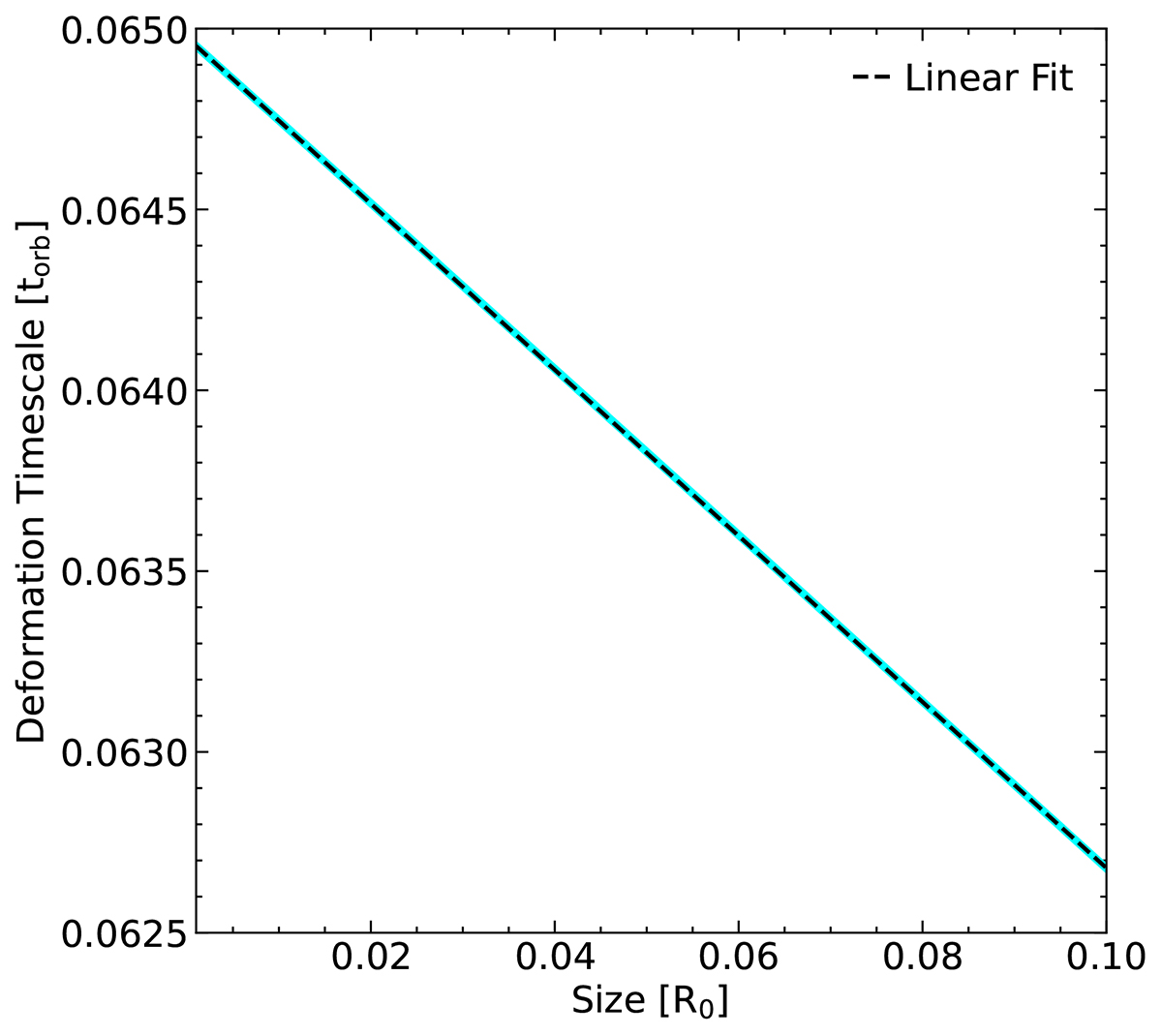
Deformation timescale as a function of size. Spheres are deformed greatly after ∼6.5 percent of t orb ( R ¯ ) $ t_{\text{orb}}\left(\bar{R}\right) $, where R ¯ = p R 0 + ( 1 p ) ( R 0 r 0 ) $ \bar{R} = pR_{0} + (1-p)\left(R_{0} - r_{0}\right) $ is a characteristic radius lying between R0 − r0 and R0. Our linear fit yields p ∼ 0.65.

Current usage metrics show cumulative count of Article Views (full-text article views including HTML views, PDF and ePub downloads, according to the available data) and Abstracts Views on Vision4Press platform.

Data correspond to usage on the plateform after 2015. The current usage metrics is available 48-96 hours after online publication and is updated daily on week days.

Initial download of the metrics may take a while.