Open Access

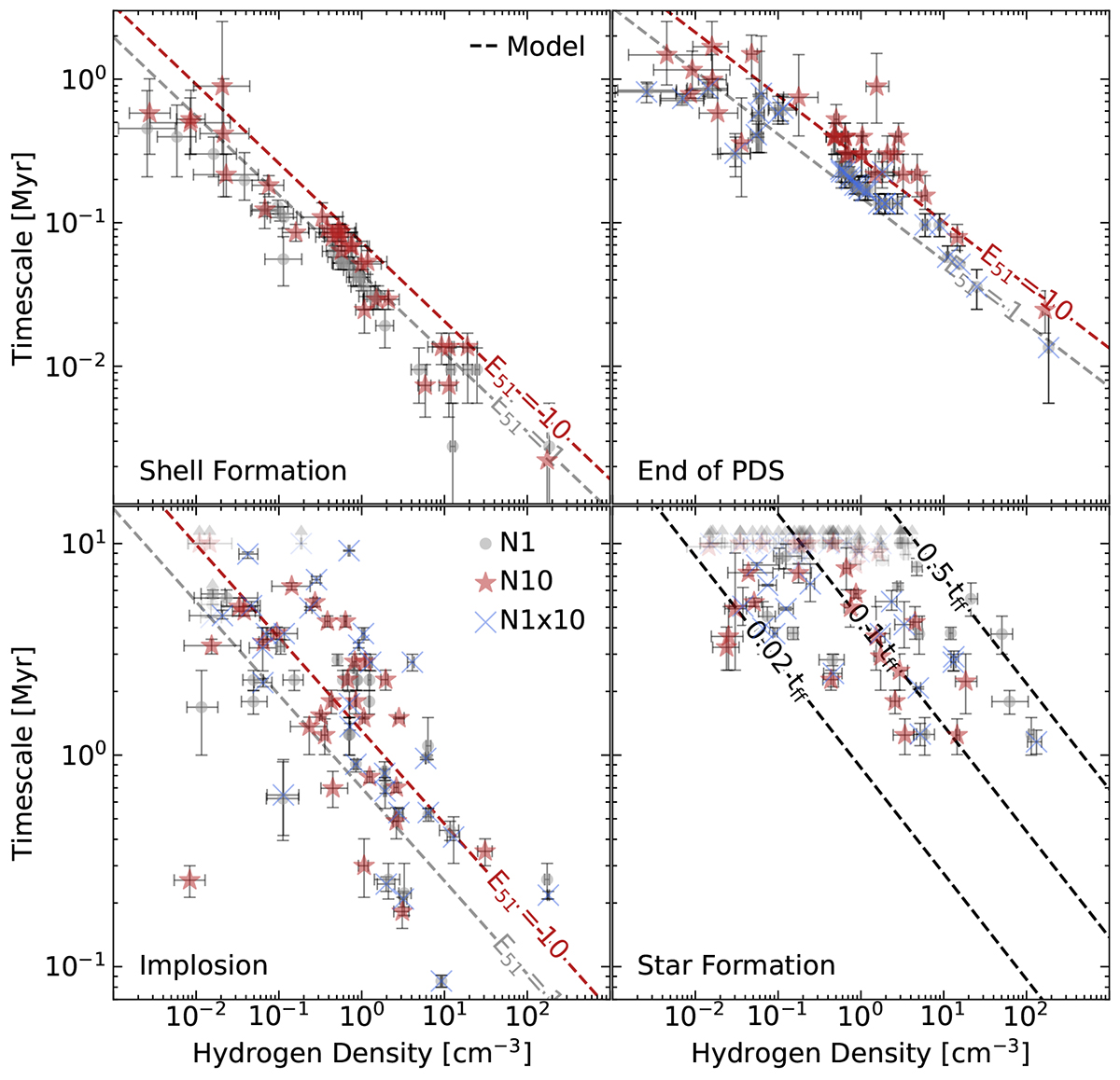
Fig. 7.

image

Download original image

Various timescales as a function of ambient density for our simulated sample of SNRs. Uncertainties arise due to the finite spacing of the snapshots and due to the choice of Zej, thr. The timescales of shell formation, the end of the PDS phase and SNR implosion agree well with the predictions from models based on simulations of isolated SNRs (Kim & Ostriker 2015; Romano et al. 2024a). The timescale measuring the onset of star formation within the SNRs is within a factor of 5 of 10 percent of the free-fall timescale of the star-forming SNRs.

Current usage metrics show cumulative count of Article Views (full-text article views including HTML views, PDF and ePub downloads, according to the available data) and Abstracts Views on Vision4Press platform.

Data correspond to usage on the plateform after 2015. The current usage metrics is available 48-96 hours after online publication and is updated daily on week days.

Initial download of the metrics may take a while.