Open Access

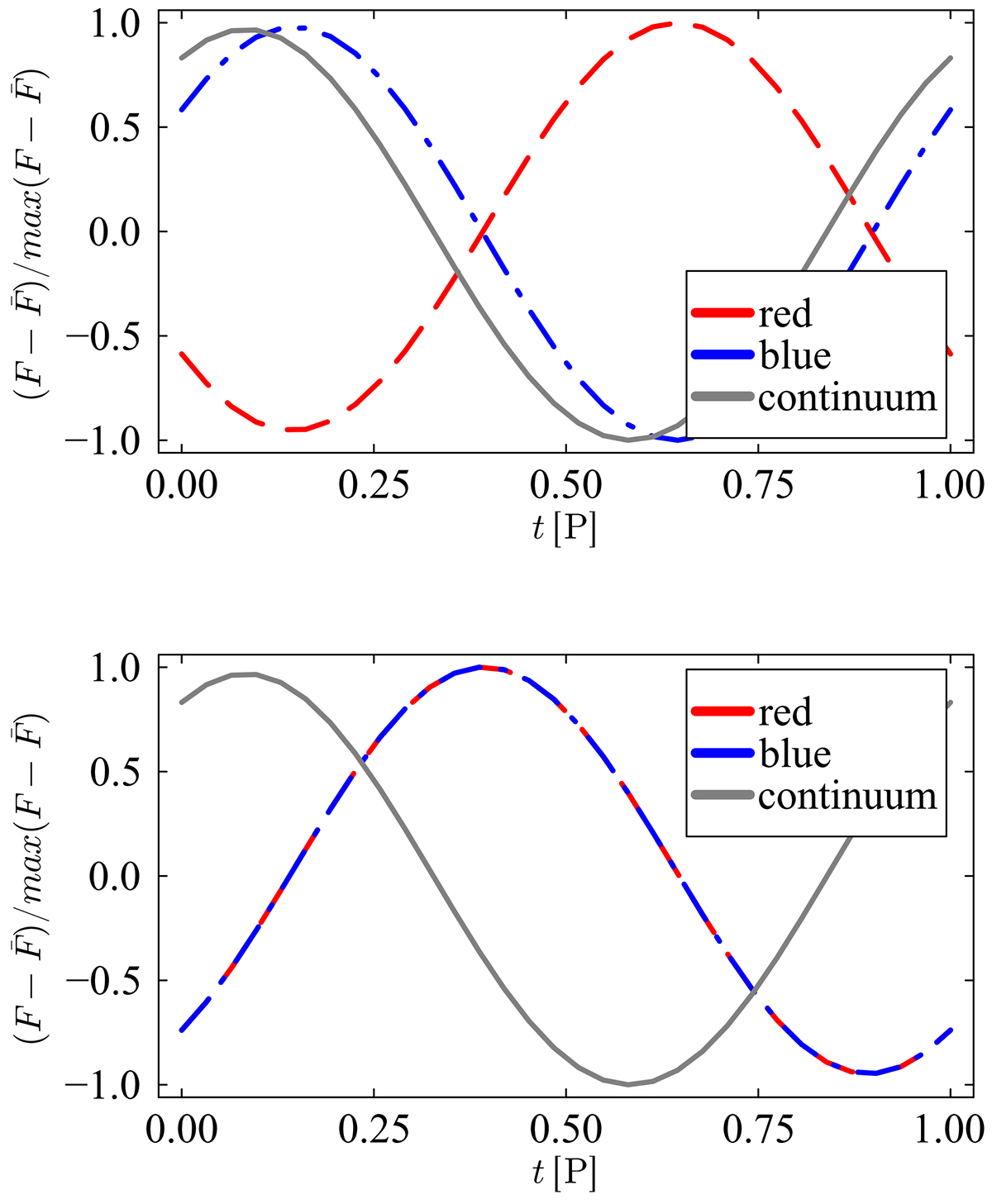
Fig. 7.

image

Download original image

Light curves for the ionising continuum from the central source and for the red and blue BEL wings. The x axis represents time in units of the orbital period, while the y axis represents the normalised flux. Upper panel: Binary scenario with M1 = 107 M and M2 = 106 M. The separation is a = 10−3.9 pc. Lower panel: Single MBH scenario with the same ionising continuum as in the binary case.

Current usage metrics show cumulative count of Article Views (full-text article views including HTML views, PDF and ePub downloads, according to the available data) and Abstracts Views on Vision4Press platform.

Data correspond to usage on the plateform after 2015. The current usage metrics is available 48-96 hours after online publication and is updated daily on week days.

Initial download of the metrics may take a while.