Open Access

Fig. 2.

image

Download original image

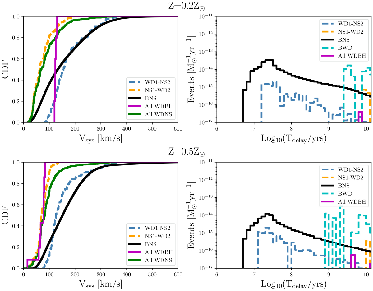
Systemic velocities (at birth) for compact binaries (left), and their total delay time distributions (from ZAMS to merger, right), at 20% solar metallicity (top, similar to the host galaxy of GRB211211A) and 50% solar metallicity (bottom, matching the host of GRB230307A). These results adopt the Verbunt et al. (2017) distribution for neutron star natal kicks (results for alternative natal kicks are given in Figs. A.3 and A.4). Only systems that merge within a Hubble time are shown. We split the WDNS mergers into NS1-WD2 and WD1-NS2 channels; WDBH mergers are however much rarer and exclusively have the BH forming first. These velocities do not include any contribution from the initial galactic orbits of their progenitor systems (see Section 3) for performing offset simulations.

Current usage metrics show cumulative count of Article Views (full-text article views including HTML views, PDF and ePub downloads, according to the available data) and Abstracts Views on Vision4Press platform.

Data correspond to usage on the plateform after 2015. The current usage metrics is available 48-96 hours after online publication and is updated daily on week days.

Initial download of the metrics may take a while.