Open Access

Fig. 3

image

Download original image

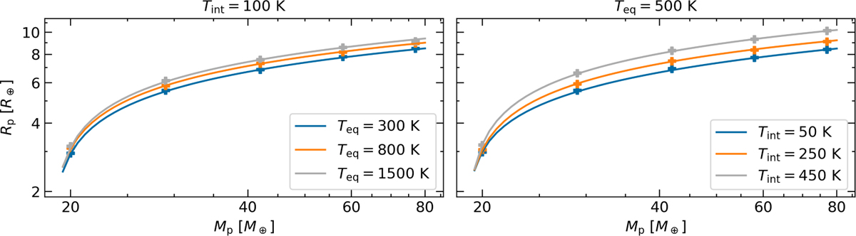
Analytical mass-radius relationships for GJ 436 b. The crosses represent some radii directly computed by the structure integrator to emphasize the goodness of the fit. Left: varying equilibrium temperature, Teq, with a fixed intrinsic temperature Tint = 100 K. Right: varying intrinsic temperature Tint, with a fixed equilibrium temperature Teq = 500 K.

Current usage metrics show cumulative count of Article Views (full-text article views including HTML views, PDF and ePub downloads, according to the available data) and Abstracts Views on Vision4Press platform.

Data correspond to usage on the plateform after 2015. The current usage metrics is available 48-96 hours after online publication and is updated daily on week days.

Initial download of the metrics may take a while.