Open Access

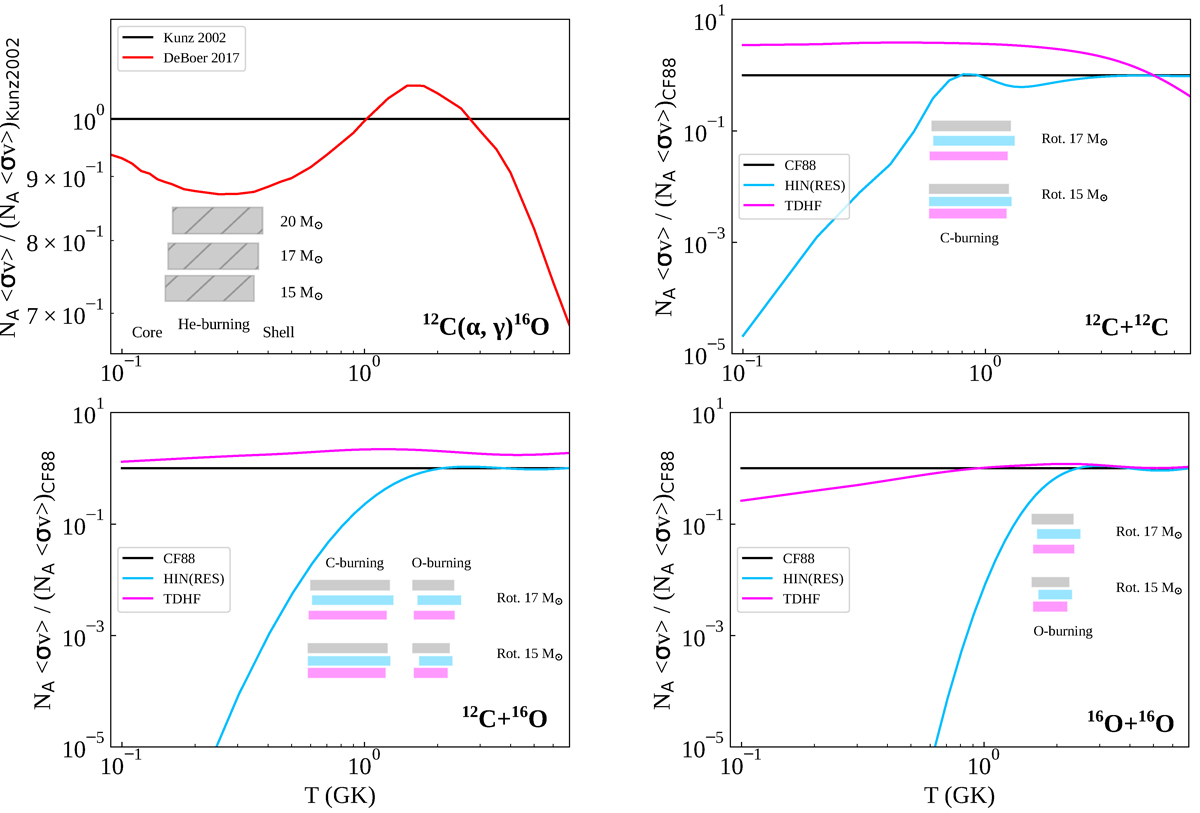
Fig. 1.

image

Download original image

Reaction rates for the four main nuclear reactions involving 12C and 16O. Top left: Rates from deBoer et al. (2017) normalised to Kunz et al. (2002) reference for the 12C(α, γ)16O reaction. The grey hatched areas indicate the temperature ranges where core and shell He-burning occur in the GENEC rotating model explored mass range. For the rest of the panels, nuclear reaction rates are taken from CF88 (black), HIN(RES (blue), and TDHF (magenta), all normalised to the CF88 rates (NA < σv> CF88). Shaded areas (with corresponding colour codes) indicate the temperature ranges where core and shell C-burning and core O-burning take place in the 15 and 17 M GENEC rotating models.

Current usage metrics show cumulative count of Article Views (full-text article views including HTML views, PDF and ePub downloads, according to the available data) and Abstracts Views on Vision4Press platform.

Data correspond to usage on the plateform after 2015. The current usage metrics is available 48-96 hours after online publication and is updated daily on week days.

Initial download of the metrics may take a while.