Open Access

Fig. 1.

image

Download original image

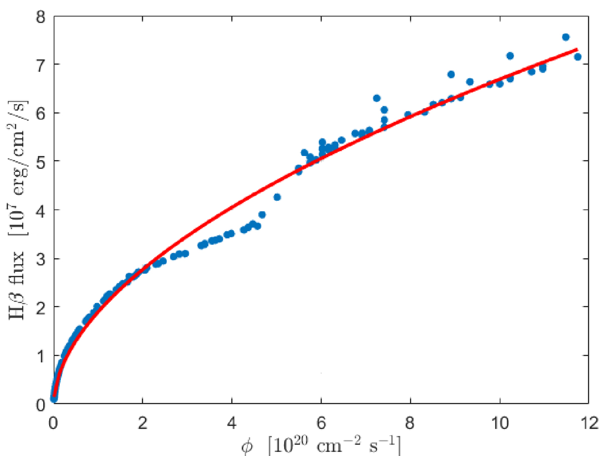
Results from a CLOUDY simulation (Ashwani Pandey; private commun.) showing the Hβ line emissivity as a function of the incident photon flux ϕ (computed from the 2.5D FRADO model) reaching a BLR cloud. The blue points represent simulation outputs, while the red curve shows a logarithmic fit, highlighting a clear nonlinear relationship.

Current usage metrics show cumulative count of Article Views (full-text article views including HTML views, PDF and ePub downloads, according to the available data) and Abstracts Views on Vision4Press platform.

Data correspond to usage on the plateform after 2015. The current usage metrics is available 48-96 hours after online publication and is updated daily on week days.

Initial download of the metrics may take a while.