Open Access

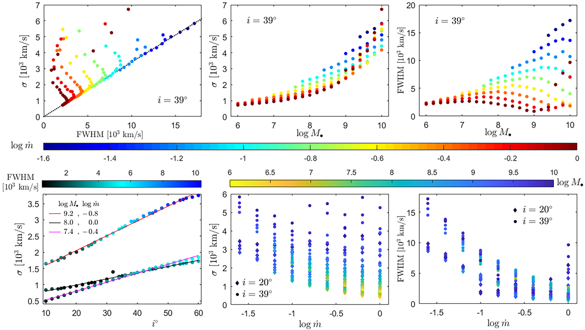
Fig. 5.

image

Download original image

Relations between σ and FWHM, and the predicted dependence on the black hole mass, accretion rate, and viewing angle. The black dotted line stands for an arbitrary linear fit, σ = 0.34 FWHM, to the trend of the underneath of data points in top-left panel. The solid lines in the bottom-left panel are also linear fits to the data points.

Current usage metrics show cumulative count of Article Views (full-text article views including HTML views, PDF and ePub downloads, according to the available data) and Abstracts Views on Vision4Press platform.

Data correspond to usage on the plateform after 2015. The current usage metrics is available 48-96 hours after online publication and is updated daily on week days.

Initial download of the metrics may take a while.