Open Access

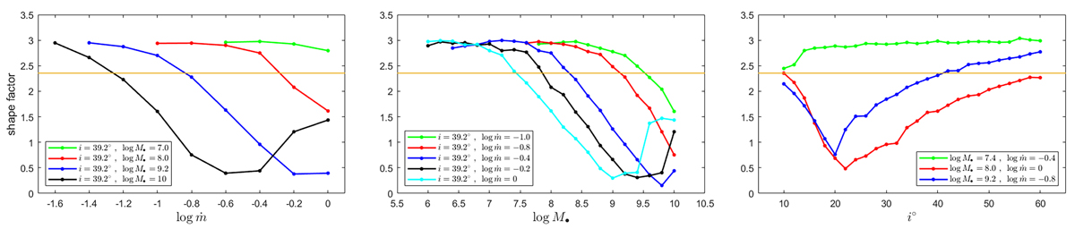
Fig. 6.

image

Download original image

Behavior of shape factor, the ratio of FWHM to σ, with respect to the accretion rate, and black hole mass of the source, and also versus the observer’s viewing angle. The orange line marks the value expected for a Gaussian line shape and separates Gaussian-like profiles (upper part of the plots) from Lorentzian-like profiles (lower part of the plots).

Current usage metrics show cumulative count of Article Views (full-text article views including HTML views, PDF and ePub downloads, according to the available data) and Abstracts Views on Vision4Press platform.

Data correspond to usage on the plateform after 2015. The current usage metrics is available 48-96 hours after online publication and is updated daily on week days.

Initial download of the metrics may take a while.