Open Access

Fig. 2

image

Download original image

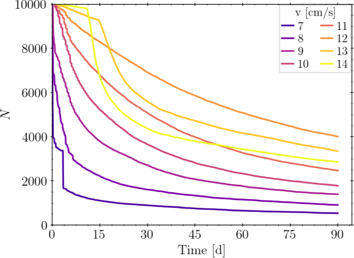
Number of ejecta particles over time for each simulation, which decays exponentially as expected. The sudden drop in N for the 7 cm s−1 case at t ∼5 d is due to the accretion of a large group of particles (see movie). The kinks around ∼15 d for the 13 and 14 cm s−1 cases are due to particles reaching the Hill sphere and being removed from the simulation.

Current usage metrics show cumulative count of Article Views (full-text article views including HTML views, PDF and ePub downloads, according to the available data) and Abstracts Views on Vision4Press platform.

Data correspond to usage on the plateform after 2015. The current usage metrics is available 48-96 hours after online publication and is updated daily on week days.

Initial download of the metrics may take a while.