Open Access

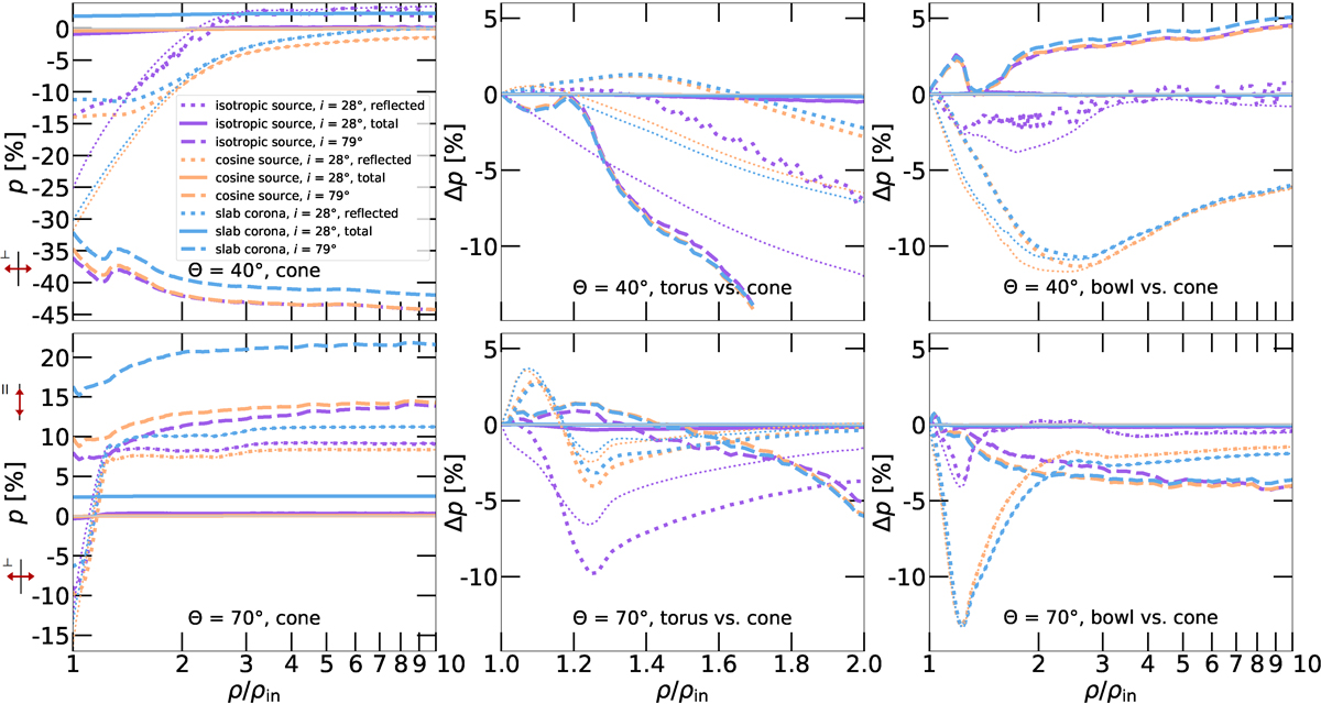
Fig. 6.

image

Download original image

Averaged polarization degree at 3.5–6 keV versus the skew of the inner walls, ρ/ρin, for two different half-opening angles of Θ = 40° (top) and Θ = 70° (bottom). For the cone geometry (left), we show the reflected-only polarization degree, p in %. For the torus (center) and bowl (right) geometries, we show the polarization degree difference, Δp in %, which is the polarization degree p of the reflecting cone subtracted from the polarization degree p of the reflecting torus or bowl, respectively, in identical configurations. The results are plotted for the case of unpolarized isotropic source (purple), unpolarized cosine source (orange), and the slab corona example (blue), and for two different inclinations: i = 79°, where reflected radiation is the only observable component (dashed lines), and i = 28°, where we show the reflected-only polarization (dotted lines) and the total observed polarization (solid lines). In regular thick lines, we show examples for B = 1, but for the case of low inclination i = 28° and reflected-only emission (dotted lined) we additionally display in thin lines the examples for B = 0. The reflection from the bottom half-space of the structures plays the largest role for small ρ/ρin. The results are displayed for ξ0 = 500 erg ⋅ cm ⋅ s−1 with β = 2. For the case of torus geometry, Θ = 40° and i = 79°, i.e., the dashed lines in the top central panel, the configurations with ρ/ρin ≳ 1.7 are already under full eclipse, and hence they are not displayed.

Current usage metrics show cumulative count of Article Views (full-text article views including HTML views, PDF and ePub downloads, according to the available data) and Abstracts Views on Vision4Press platform.

Data correspond to usage on the plateform after 2015. The current usage metrics is available 48-96 hours after online publication and is updated daily on week days.

Initial download of the metrics may take a while.