Open Access

Fig. 1

image

Download original image

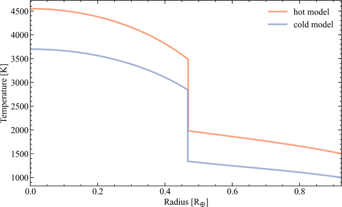
Pre-impact temperature profiles of Venus. The blue and orange curves correspond to the cold model and hot model with surface temperatures of 1000 and 1500 K, respectively. Both models assume a differentiated planet with an iron core (30% by mass) and a rocky mantle (70% by mass) and include a temperature jump of 1500 K at the core-mantle boundary.

Current usage metrics show cumulative count of Article Views (full-text article views including HTML views, PDF and ePub downloads, according to the available data) and Abstracts Views on Vision4Press platform.

Data correspond to usage on the plateform after 2015. The current usage metrics is available 48-96 hours after online publication and is updated daily on week days.

Initial download of the metrics may take a while.