Open Access

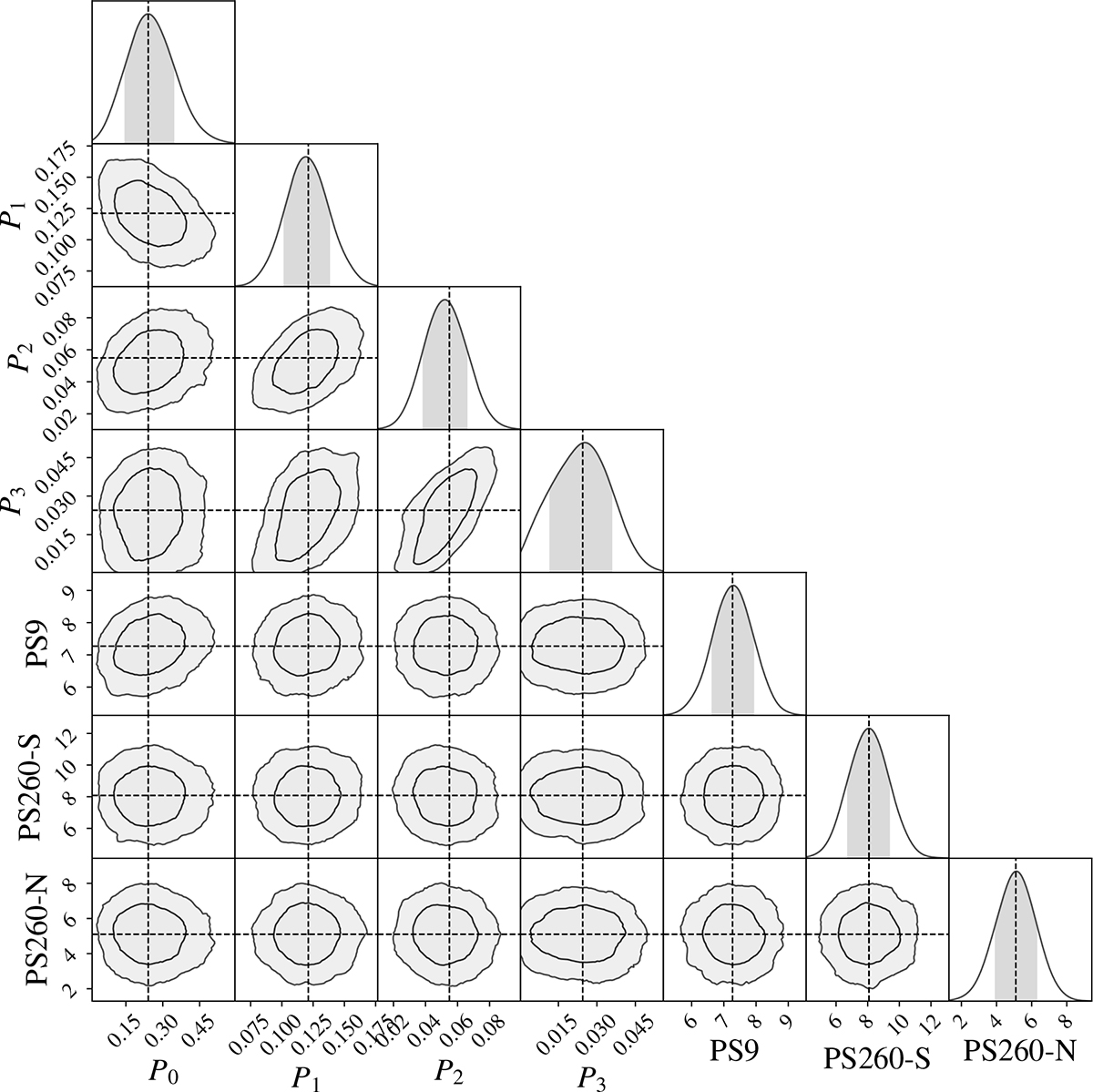
Fig. B.3.

image

Download original image

Posterior probability distributions (1D and 2D) of the pressure bins and point source fluxes fitted to mock visibilities. Dashed black lines indicate parameter values for the input model. Pressure values are given in keV/cm3 units and point source fluxes in 10−5 Jy.

Current usage metrics show cumulative count of Article Views (full-text article views including HTML views, PDF and ePub downloads, according to the available data) and Abstracts Views on Vision4Press platform.

Data correspond to usage on the plateform after 2015. The current usage metrics is available 48-96 hours after online publication and is updated daily on week days.

Initial download of the metrics may take a while.