Open Access

Fig. 3.

image

Download original image

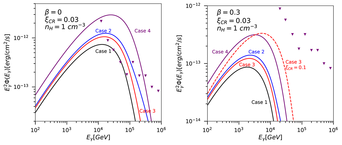
Left: gamma ray spectrum due to particles escaped from the Cas A SNR up until the present time, for β = 0 and ξCR = 0.03. Right: same as the left panel but for β = 0.3. The case β = 0.3 and ξCR = 0.1 is also plotted (dashed red line). The predicted gamma ray spectra are compared with the upper limits from LHAASO observation of a 2 degrees region around Cas A (Cao et al. 2024) (purple downward triangles).

Current usage metrics show cumulative count of Article Views (full-text article views including HTML views, PDF and ePub downloads, according to the available data) and Abstracts Views on Vision4Press platform.

Data correspond to usage on the plateform after 2015. The current usage metrics is available 48-96 hours after online publication and is updated daily on week days.

Initial download of the metrics may take a while.