Open Access

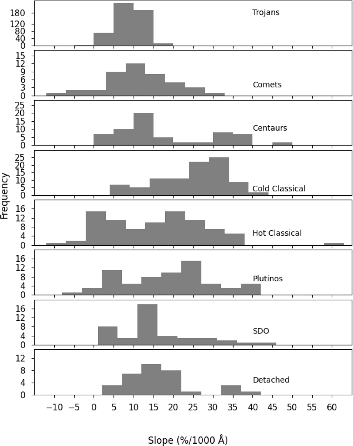
Fig. 9

image

Download original image

Comparison of the slopes of the Trojans (top plot) with different TNOs dynamical classes and cometary nuclei. Frequency indicates the number of asteroid bodies for each slope bins (the bin is of 5%/1000 Å). From second top plot to bottom the histograms represent: comets, Centaurs, cold classical and hot classical objects, plutinos, scattered disk objects (SDOs), and detached TNOs.

Current usage metrics show cumulative count of Article Views (full-text article views including HTML views, PDF and ePub downloads, according to the available data) and Abstracts Views on Vision4Press platform.

Data correspond to usage on the plateform after 2015. The current usage metrics is available 48-96 hours after online publication and is updated daily on week days.

Initial download of the metrics may take a while.