Open Access

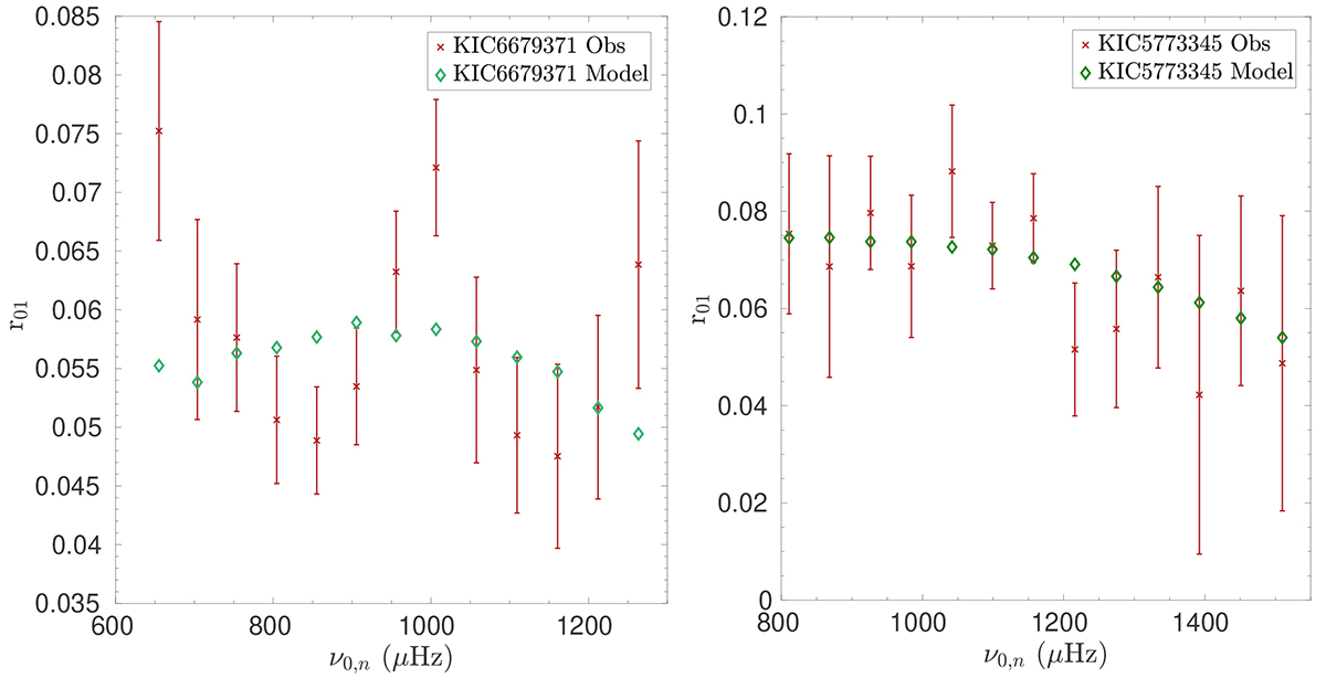
Fig. 3.

image

Download original image

Frequency separation ratios for the optimal models found after the Levenberg-Marquardt minimisation (r01) of KIC6679371 (left) and KIC5773345 (right) as a function of observed frequency. The evolutionary model is shown in green, while the observations are shown in red.

Current usage metrics show cumulative count of Article Views (full-text article views including HTML views, PDF and ePub downloads, according to the available data) and Abstracts Views on Vision4Press platform.

Data correspond to usage on the plateform after 2015. The current usage metrics is available 48-96 hours after online publication and is updated daily on week days.

Initial download of the metrics may take a while.