Open Access

Fig. 5

image

Download original image

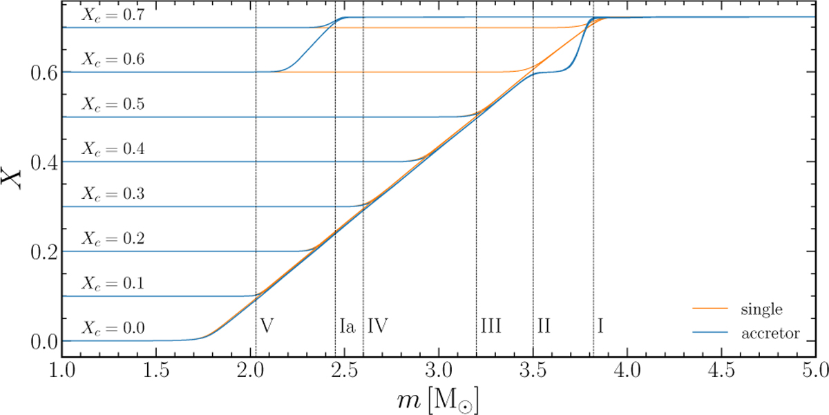
Hydrogen abundances, X, in a function of a mass for different evolutionary stages of 10 M single (orange lines) and accretor (blue lines) models. The vertical lines mark features corresponding to Figure 7. For clarity, we only show a fraction of the inner mass coordinate.

Current usage metrics show cumulative count of Article Views (full-text article views including HTML views, PDF and ePub downloads, according to the available data) and Abstracts Views on Vision4Press platform.

Data correspond to usage on the plateform after 2015. The current usage metrics is available 48-96 hours after online publication and is updated daily on week days.

Initial download of the metrics may take a while.