Open Access

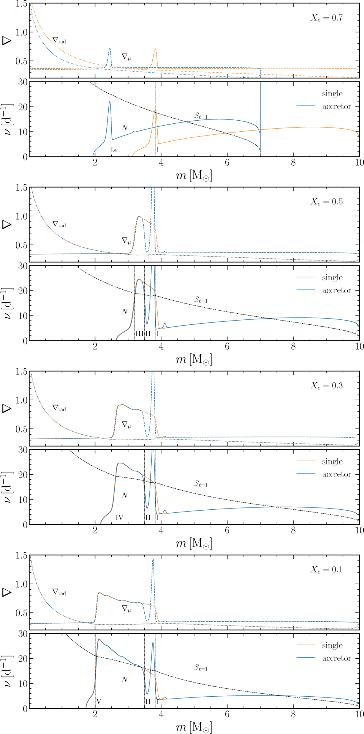
Fig. 7

image

Download original image

Variation of radiative ∇rad (dotted lines) and chemical ∇μ gradients (dashed lines) on the top panels along with Lamb Sℓ=1 (dashed lines) and Brunt-Väisälä N frequencies (solid lines) on the bottom panels in a function of mass for 10 M single (orange lines) and accretor (blue lines) models. The vertical lines correspond to features shown in Figure 5. We show the results at four different evolutionary stages, Xc=0.7,0.5,0.3 and 0.1.

Current usage metrics show cumulative count of Article Views (full-text article views including HTML views, PDF and ePub downloads, according to the available data) and Abstracts Views on Vision4Press platform.

Data correspond to usage on the plateform after 2015. The current usage metrics is available 48-96 hours after online publication and is updated daily on week days.

Initial download of the metrics may take a while.