Open Access

Fig. 10

image

Download original image

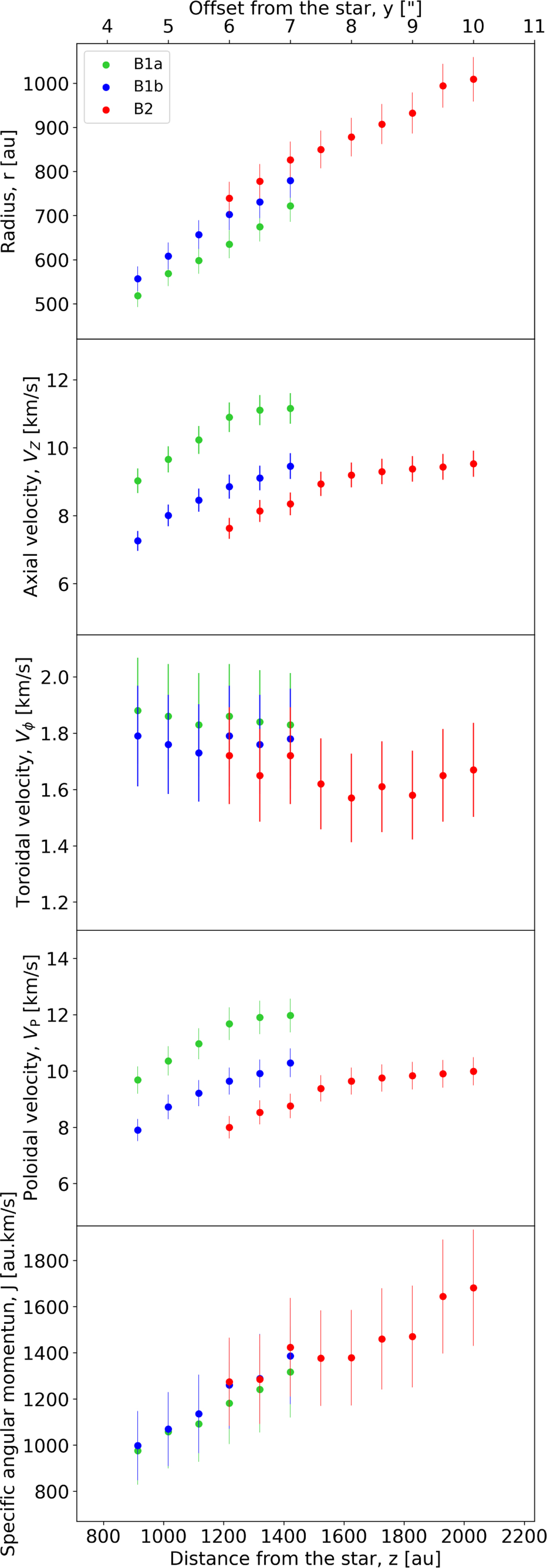
Variation in the physical parameters in the shells B1a (green), B1b (blue), and B2 (red) with distance from the source as derived from the tomographic analysis of the PV diagrams in Section 4.2, and reported in Table 1.

Current usage metrics show cumulative count of Article Views (full-text article views including HTML views, PDF and ePub downloads, according to the available data) and Abstracts Views on Vision4Press platform.

Data correspond to usage on the plateform after 2015. The current usage metrics is available 48-96 hours after online publication and is updated daily on week days.

Initial download of the metrics may take a while.