Open Access

Fig. 12

image

Download original image

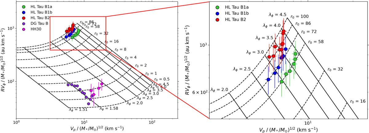
Footpoint radii r0 and parameter λϕ=Ωr2/Ω0r02$\[\lambda_{\phi}=\Omega r^{2} / \Omega_{0} r_{0}^{2}\]$ determined for the B1a, B1b, and B2 shells following the diagnostic procedure in Ferreira et al. (2006). The diagram also reports the results published for the wind from DG Tau B (de Valon et al. 2022), and for the wind from HH 30 (Louvet et al. 2018; López-Vázquez et al. 2024a). We note that the results for DG Tau B are derived with a different selection of the input data in the tomographic analysis, corresponding to different assumptions on the structure of the wind (see Appendix E).

Current usage metrics show cumulative count of Article Views (full-text article views including HTML views, PDF and ePub downloads, according to the available data) and Abstracts Views on Vision4Press platform.

Data correspond to usage on the plateform after 2015. The current usage metrics is available 48-96 hours after online publication and is updated daily on week days.

Initial download of the metrics may take a while.