Open Access

Fig. G.1

image

Download original image

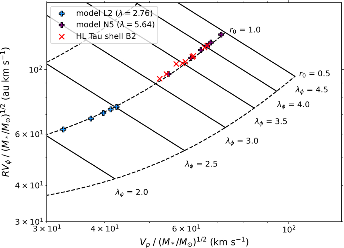
Trend of the normalized specific angular momentum λϕ along a streamline originating from 1 au in a disk around a 1 M star following models L2 (blue) and N5 (purple), for separations from the source z/r0 = 10, 20, 30, 40, 50 from left to right, with an additional point at z/r0 = 100 for model N5. The superposed red crosses illustrate the trend for λϕ along shell B2 as in Table 1, after normalization of r, Vp, and Vϕ by the derived average footpoint radius r¯0$\[\bar{r}_{0}\]$ and corresponding Keplerian velocity, for M = 2.1 M (see Section 5.4).

Current usage metrics show cumulative count of Article Views (full-text article views including HTML views, PDF and ePub downloads, according to the available data) and Abstracts Views on Vision4Press platform.

Data correspond to usage on the plateform after 2015. The current usage metrics is available 48-96 hours after online publication and is updated daily on week days.

Initial download of the metrics may take a while.