Open Access

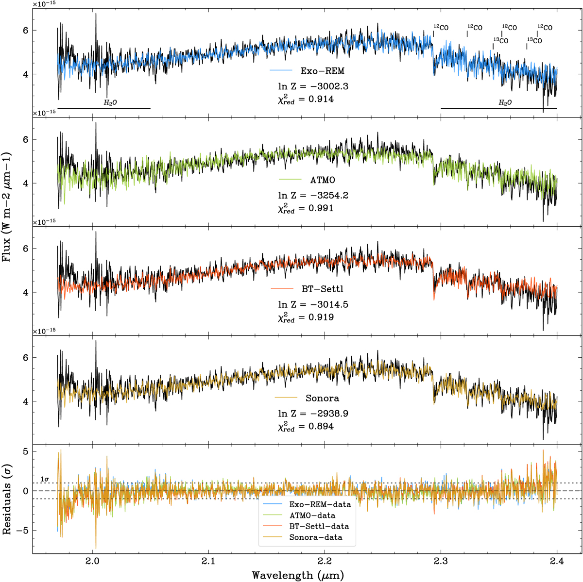
Fig. 3

image

Download original image

Results of the forward modeling of the β Pic b GRAVITY spectrum. The combined GRAVITY spectrum (in black) compared data from the other panels in this figure. First panel: best-fit Exo-REM (in blue). Second panel: best-fit ATMO (in green). Third panel: best-fit BT-Settl (in red). Fourth panel: best-fit Sonora (in yellow). The two 13CO absorption lines are annotated at 2.345 µm and 2.374 µm; the four 12CO lines at 2.294 µm, 2.323 µm, 2.352 µm and 2.383 µm as well as the two H2O band heads between 1.75–2.05 µm and 2.3–3.2 µm. Bottom panel: residuals for each fit. Dotted lines represents the ±σ (68%) confidence interval.

Current usage metrics show cumulative count of Article Views (full-text article views including HTML views, PDF and ePub downloads, according to the available data) and Abstracts Views on Vision4Press platform.

Data correspond to usage on the plateform after 2015. The current usage metrics is available 48-96 hours after online publication and is updated daily on week days.

Initial download of the metrics may take a while.