Open Access

Fig. 3.

image

Download original image

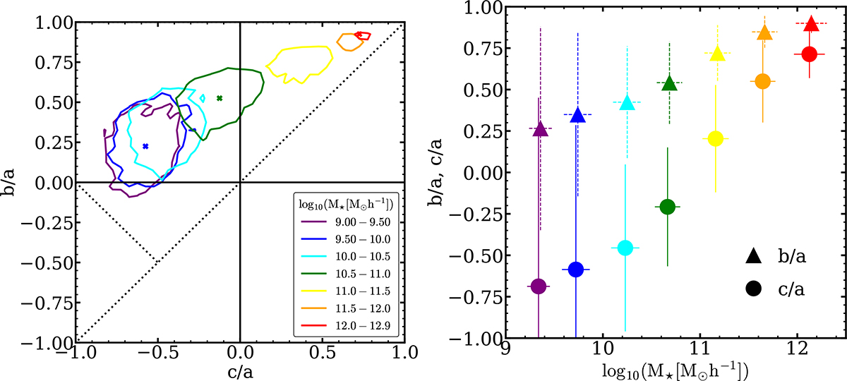
Eigenvalues ratios, b/a and c/a, as a function of the logarithm of the stellar mass (M). Left panel: Eigenvalues ratios, b/a vs. c/a, in bins of the logarithm of stellar mass. Right panel: Median values of b/a (triangles) and c/a (circles) for equal bins of the logarithm of the stellar mass, as a function of the logarithm of the stellar mass. In both panels, each color corresponds to each stellar mass bin, as indicated by the legend.

Current usage metrics show cumulative count of Article Views (full-text article views including HTML views, PDF and ePub downloads, according to the available data) and Abstracts Views on Vision4Press platform.

Data correspond to usage on the plateform after 2015. The current usage metrics is available 48-96 hours after online publication and is updated daily on week days.

Initial download of the metrics may take a while.