Open Access

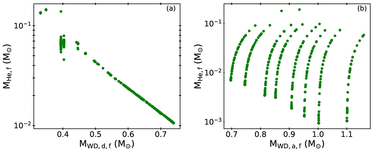
Fig. 11.

image

Download original image

He shell masses for both the donor WD, which was originally a hot subdwarf (panel a) and the accretor WD, which was originally a WD (panel b) in double white dwarf systems. Panel (a) displays the mass of the donor WD versus the mass of its He shell. Panel (b) shows the accretor WD versus the mass of its He shell. The maximum mass of the accreted He shell is ∼0.18 M.

Current usage metrics show cumulative count of Article Views (full-text article views including HTML views, PDF and ePub downloads, according to the available data) and Abstracts Views on Vision4Press platform.

Data correspond to usage on the plateform after 2015. The current usage metrics is available 48-96 hours after online publication and is updated daily on week days.

Initial download of the metrics may take a while.