Open Access

Fig. 5.

image

Download original image

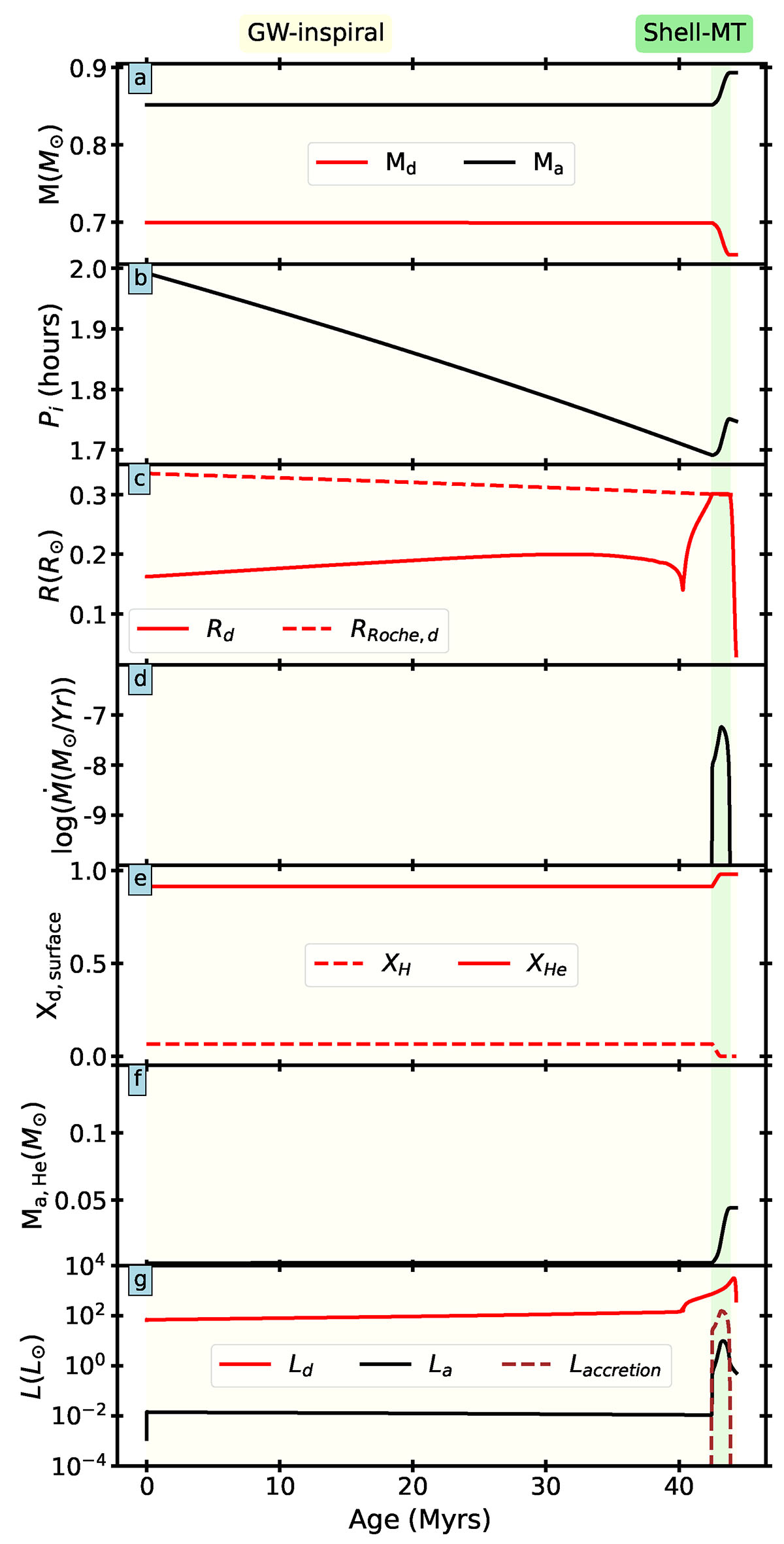
Evolutionary aspects of a binary with Md = 0.7 M, Ma = 0.85 M, and Pi = 2 hours, where the donor evolves into a WD, forming a double white dwarf system. The panels display the evolution of different parameters as in Fig. 2. The background colors yellow, and green represent the gravitational-wave inspiral phase (GW-inspiral), and mass transfer phase during the He shell burning phase (Shell-MT), respectively. This system is detached for most of its lifetime, and undergoes one episode of accretion that fails to ignite the He layer of the accretor, resulting in a double white dwarf. This double white dwarf is expected to merge in 86 million years which might lead to a Type Ia supernova.

Current usage metrics show cumulative count of Article Views (full-text article views including HTML views, PDF and ePub downloads, according to the available data) and Abstracts Views on Vision4Press platform.

Data correspond to usage on the plateform after 2015. The current usage metrics is available 48-96 hours after online publication and is updated daily on week days.

Initial download of the metrics may take a while.