Open Access

Fig. 9.

image

Download original image

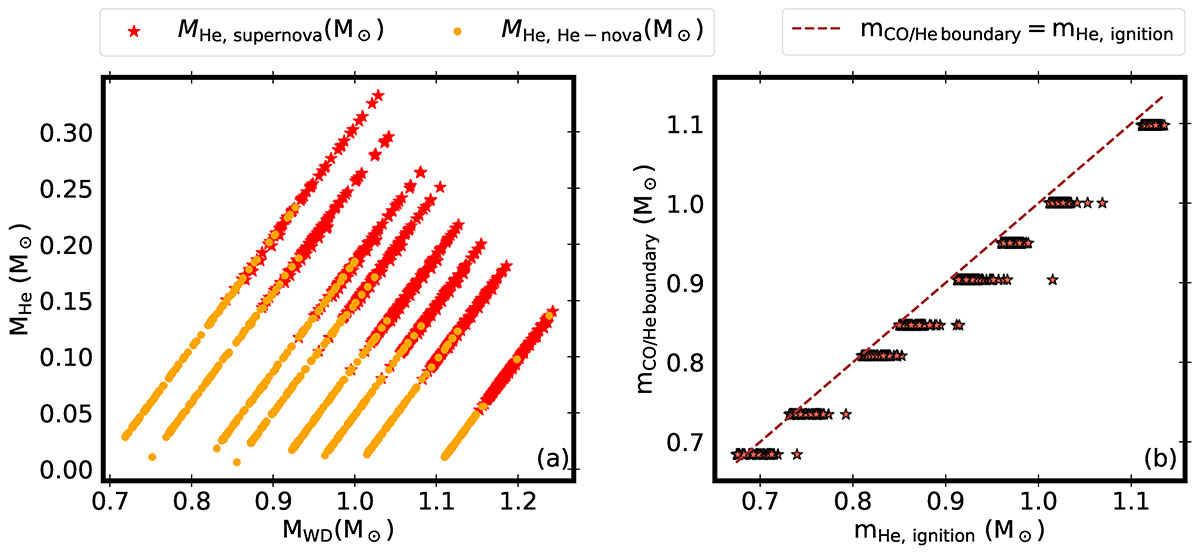
He masses (panel a) and mass coordinates (panel b) for systems that undergo double detonation supernovae and He novae. Panel (a) shows the mass of the He shell at the time of ignition versus the total mass of the WD for systems undergoing double detonation supernovae and He novae. The minimum He mass required for He ignition in our simulations, at high densities greater than the assumed critical density is ∼0.05 M. Panel (b): Red stars with black edges display the mass coordinate of the ignition point versus the mass coordinate of the C/O–He boundary, where the C/O-He boundary is defined as the layer containing less than 10% He. The red dashed line represents the locus where the mass coordinate of the C/O-He boundary equals that of the ignition point.

Current usage metrics show cumulative count of Article Views (full-text article views including HTML views, PDF and ePub downloads, according to the available data) and Abstracts Views on Vision4Press platform.

Data correspond to usage on the plateform after 2015. The current usage metrics is available 48-96 hours after online publication and is updated daily on week days.

Initial download of the metrics may take a while.