Open Access

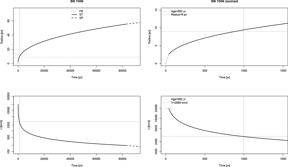
Fig. D.2.

image

Download original image

Blast wave model calculations for the expansion and deceleration of the SNR of SN 1006: Radius (upper panels) and expansion velocity v (lower panels, logarithmic scale) are plotted versus time with a zoom around its current size (ca. 9 pc), velocity (2890 km s−1), and age (992 yr) on the right; these current values are indicated by dashed lines (age 992 yr since the observing epoch in Winkler et al. 2003). Shown are free expansion (FR, dotted lines, first decades), Sedov-Taylor (ST, full lines), and snowplough (SP, broken lines, towards the end of the plotted time range) phases; the short free expansion phase at the start is hardly resolvable here. The expansion can be reconstructed well with standard SN Ia input parameters, also for normal ISM densities (see Sect. 5); see text for the input parameters used.

Current usage metrics show cumulative count of Article Views (full-text article views including HTML views, PDF and ePub downloads, according to the available data) and Abstracts Views on Vision4Press platform.

Data correspond to usage on the plateform after 2015. The current usage metrics is available 48-96 hours after online publication and is updated daily on week days.

Initial download of the metrics may take a while.