Open Access

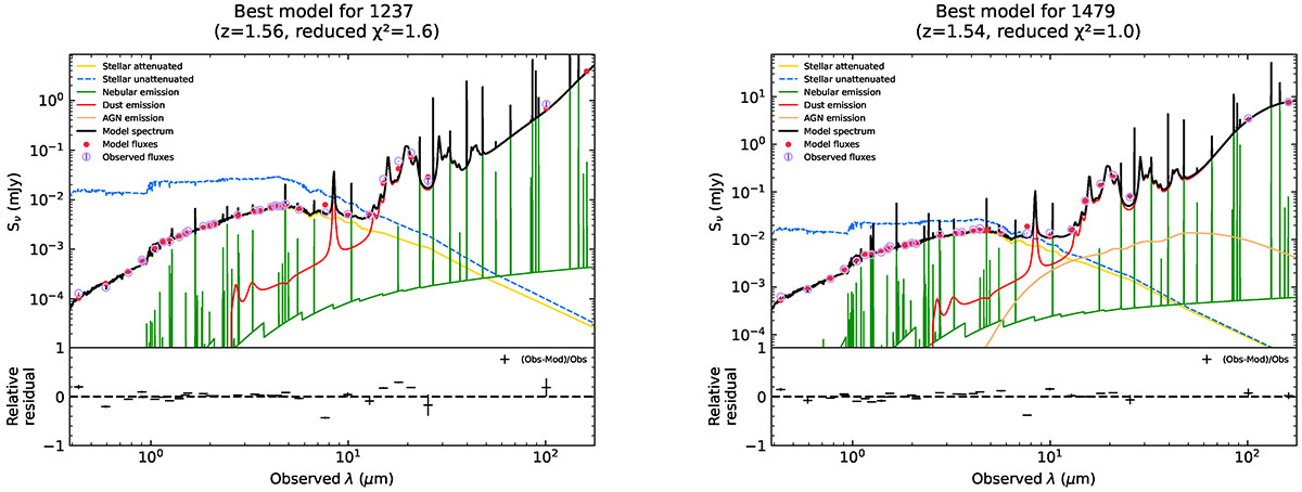
Fig. 5.

image

Download original image

Two examples (SMILES IDs 1237 and 1479) of the best-fitting SEDs of the MIRI-selected SFGs candidates at z ∼ 1.5. The red and blue curves show the dust emission and the stellar emission, respectively. The purple circles show the observed photometric fluxes. The filled red circles are the model fluxes. The best model for 1479 requires an AGN component; in 1237 there is no AGN.

Current usage metrics show cumulative count of Article Views (full-text article views including HTML views, PDF and ePub downloads, according to the available data) and Abstracts Views on Vision4Press platform.

Data correspond to usage on the plateform after 2015. The current usage metrics is available 48-96 hours after online publication and is updated daily on week days.

Initial download of the metrics may take a while.