Press Release
Open Access

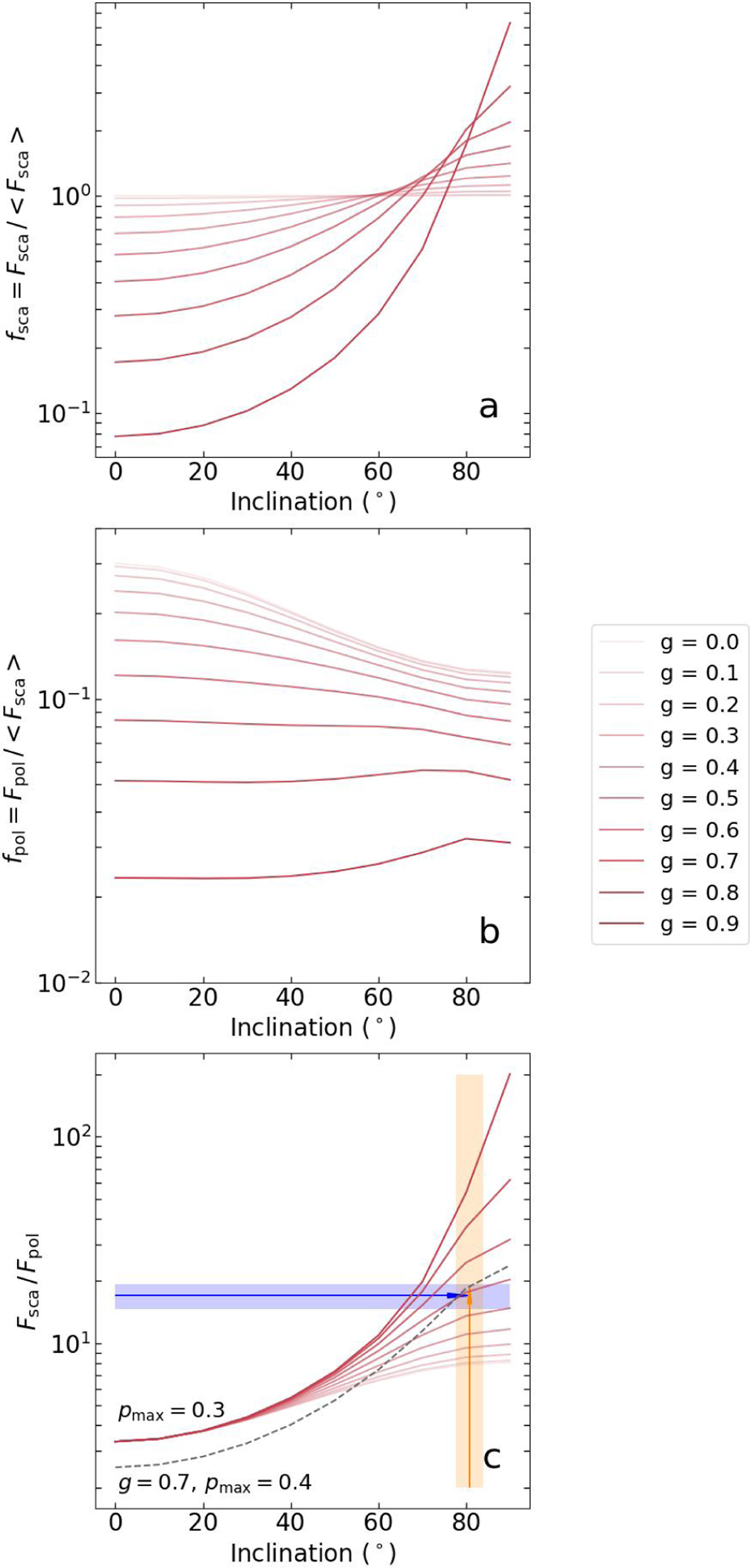
Fig. 22

image

Download original image

Ratio of scattered (panel a) and polarized (panel b) flux to the disk scattered flux averaged over the 4π solid angle as a function of disk inclination and HG scattering asymmetry parameter. Panel c: ratio of scattered to polarized flux for an optically thin debris disk. The ratios (panel a and b) define the view factors fsca λ and fpol λ, respectively. The ratios presented in this figure are calculated using the HG function (as SPF) and Rayleigh-like function with pmax = 0.3 (as polarization fraction phase function). For a different value of pmax the factor fpol λ should be linearly scaled.

Current usage metrics show cumulative count of Article Views (full-text article views including HTML views, PDF and ePub downloads, according to the available data) and Abstracts Views on Vision4Press platform.

Data correspond to usage on the plateform after 2015. The current usage metrics is available 48-96 hours after online publication and is updated daily on week days.

Initial download of the metrics may take a while.