Open Access

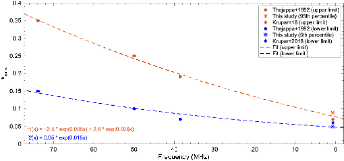
Fig. 14.

image

Download original image

Root mean square relative density fluctuations obtained using a 1-minute time window from in situ PSP data (shown as magenta stars). The two data points represent the 5th and 95th percentiles of the obtained values (Fig. 13d). These results are then compared with those obtained by Thejappa & Kundu (1992) and Krupar et al. (2018) (blue and orange circles and diamonds, representing the lower and upper limits, respectively). A fit is applied to both datasets to highlight the good agreement between them.

Current usage metrics show cumulative count of Article Views (full-text article views including HTML views, PDF and ePub downloads, according to the available data) and Abstracts Views on Vision4Press platform.

Data correspond to usage on the plateform after 2015. The current usage metrics is available 48-96 hours after online publication and is updated daily on week days.

Initial download of the metrics may take a while.