Open Access

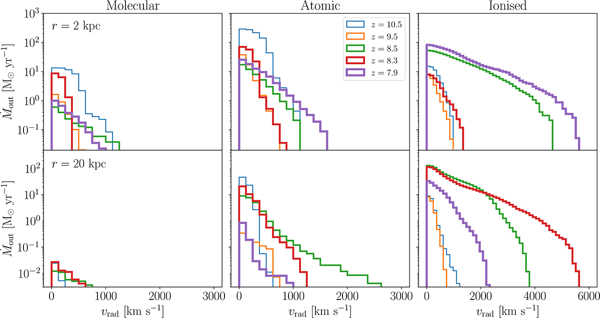
Fig. 6.

image

Download original image

Cumulative velocity distribution of the mass outflows rates. From left to right, we report molecular, atomic, and ionised outflows. The rows represent spherical shells at different distances from the MBH, with the top row corresponding to 2 kpc and the bottom one to 20 kpc. Each panel shows five distinct redshifts, with blue, orange, green, red, and purple histograms, drawn with increasing thickness, that correspond to z = 10.5, 9.5, 8.5, 8.3, 7.9, respectively.

Current usage metrics show cumulative count of Article Views (full-text article views including HTML views, PDF and ePub downloads, according to the available data) and Abstracts Views on Vision4Press platform.

Data correspond to usage on the plateform after 2015. The current usage metrics is available 48-96 hours after online publication and is updated daily on week days.

Initial download of the metrics may take a while.