Open Access

Fig. 6.

image

Download original image

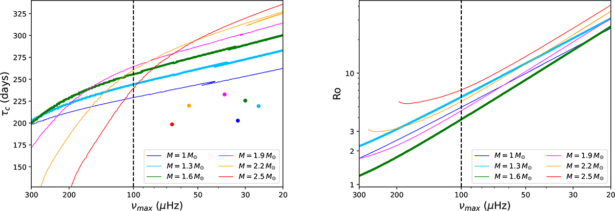
Evolution of stellar properties for models of masses 1 M (dark blue), 1.3 M (light blue), 1.6 M (green), 1.9 M (magenta), 2.2 M (orange), and 2.5 M (red) computed with MESA, as a function of νmax (in log scale, inverted axis), from νmax = 300 μHz up to νmax = 20 μHz. Plain lines represent the evolution along the RGB while dots indicate median values on the HB. Models with masses of 1.3 M and 1.6 M, representative of the median masses for LM and IM stars on the RGB, respectively, are highlighted in bold. The vertical dashed lines indicate νmax = 100 μHz. Left: Convective turnover timescale. Right: Rossby number.

Current usage metrics show cumulative count of Article Views (full-text article views including HTML views, PDF and ePub downloads, according to the available data) and Abstracts Views on Vision4Press platform.

Data correspond to usage on the plateform after 2015. The current usage metrics is available 48-96 hours after online publication and is updated daily on week days.

Initial download of the metrics may take a while.