Open Access

Fig. 6.

image

Download original image

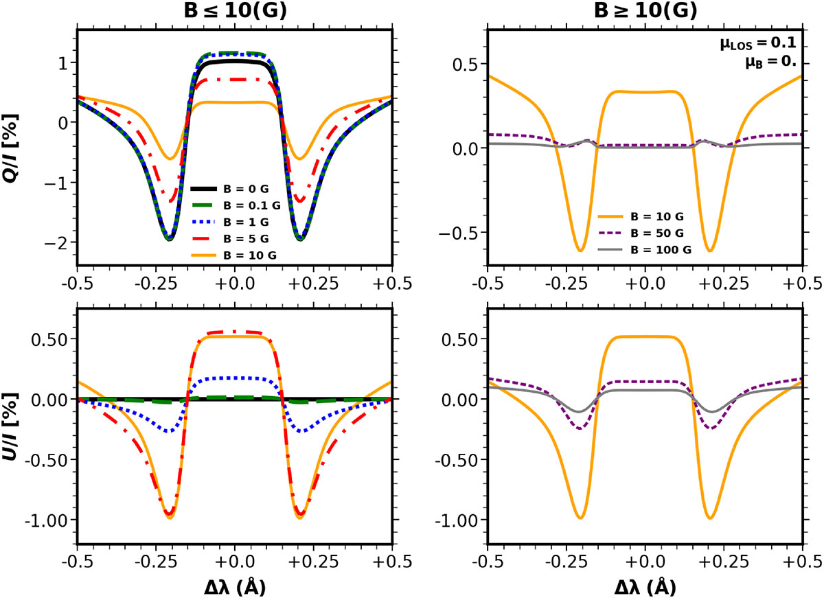
Fractional linear polarization profiles, Q/I (upper panels) and U/I (lower panels), for the core and near-wing region of the K line, for a line of sight with μ = 0.1. The curves represent emergent profiles for syntheses considering a uniform and horizontal magnetic field with different strengths, indicated in the legend. Results for B = 0 − 10 G are shown in the left panels, whereas results for B = 10 − 100 G are shown in the right ones. The B = 10 G case is represented in all the panels as a solid orange curve in order to allow for comparison. Notice that the ordinate scale is not the same for all panels. The reference direction for positive Stokes Q is the parallel to the nearest limb.

Current usage metrics show cumulative count of Article Views (full-text article views including HTML views, PDF and ePub downloads, according to the available data) and Abstracts Views on Vision4Press platform.

Data correspond to usage on the plateform after 2015. The current usage metrics is available 48-96 hours after online publication and is updated daily on week days.

Initial download of the metrics may take a while.