Open Access

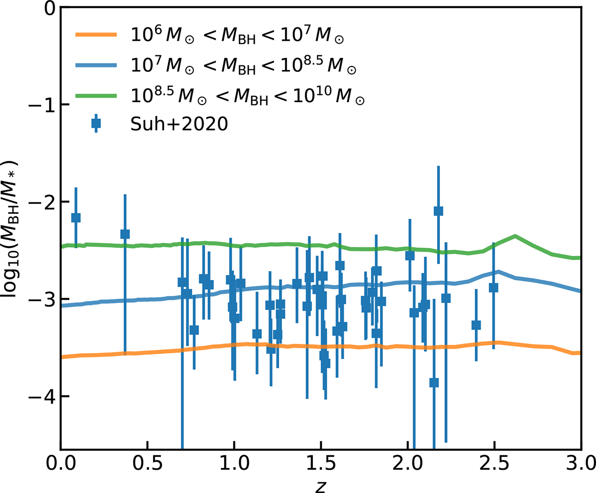
Fig. 12.

image

Download original image

Black hole mass-stellar mass ratio as a function of redshift predicted by DECODE (coloured solid lines) for black holes selected in different mass bins. Data points and error bars show the observations from the Chandra-COSMOS Legacy Survey (Suh et al. 2020) for black holes with mass 107M < MBH < 108.5M.

Current usage metrics show cumulative count of Article Views (full-text article views including HTML views, PDF and ePub downloads, according to the available data) and Abstracts Views on Vision4Press platform.

Data correspond to usage on the plateform after 2015. The current usage metrics is available 48-96 hours after online publication and is updated daily on week days.

Initial download of the metrics may take a while.