Open Access

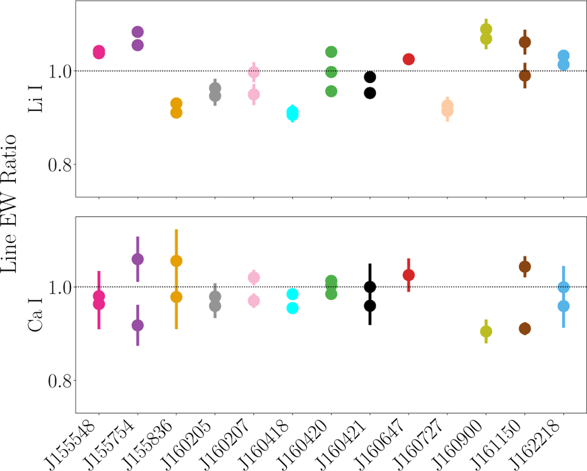
Fig. 6

image

Download original image

Equivalent width (EW) ratios between epochs of the Li I 670.78 nm line (top panel) and Ca I 422.67 nm (bottom panel) photospheric absorption lines. Ratios are calculated with respect to the brightest epoch. Results show that in all cases EW changes are within 10%. Dotted black lines are at ratios equal to 1, signifying no change in the EW.

Current usage metrics show cumulative count of Article Views (full-text article views including HTML views, PDF and ePub downloads, according to the available data) and Abstracts Views on Vision4Press platform.

Data correspond to usage on the plateform after 2015. The current usage metrics is available 48-96 hours after online publication and is updated daily on week days.

Initial download of the metrics may take a while.