Open Access

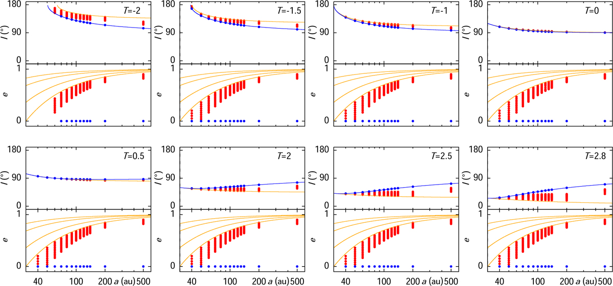
Fig. 1

image

Download original image

Initial state of the TNO reservoirs for different Tisserand parameters, T, as indicated in the top-right corner of each panel. Hot TNOs are shown in red and cold TNOs in blue. The solid orange and blue curves in the inclination panels are, respectively, the Tisserand inclination pathway (2) and the initial inclination of circular orbits (5). In the eccentricity panels, the curves indicate perihelia that match the four giant planets’ semimajor axes.

Current usage metrics show cumulative count of Article Views (full-text article views including HTML views, PDF and ePub downloads, according to the available data) and Abstracts Views on Vision4Press platform.

Data correspond to usage on the plateform after 2015. The current usage metrics is available 48-96 hours after online publication and is updated daily on week days.

Initial download of the metrics may take a while.