Open Access

Fig. 2.

image

Download original image

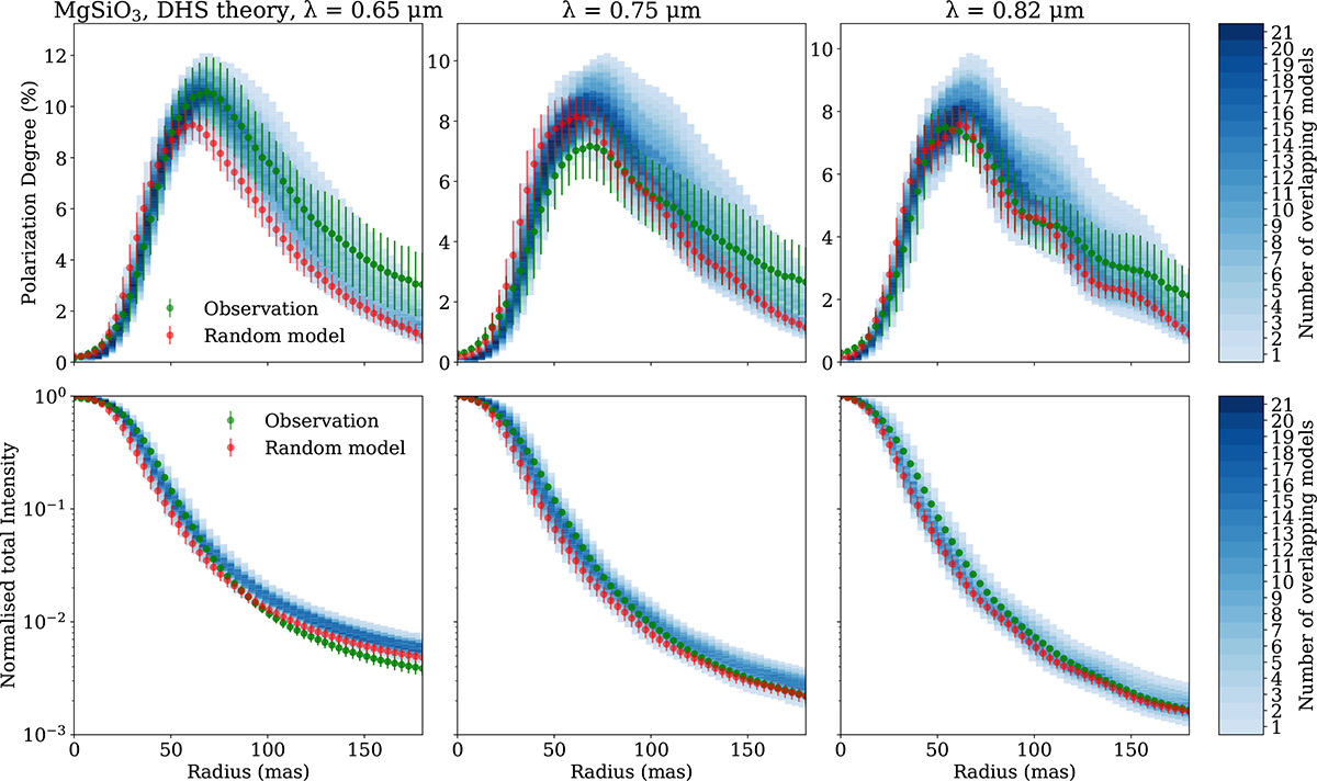
Radial profiles of the polarisation degree (top row) and normalised total intensity (bottom row) for R Dor at three wavelengths: 0.65 μm (left), 0.75 μm (middle), and 0.82 μm (right). The profiles are averaged over 360 degrees. The green curves with error bars represent the observational data. The red curves show one of the acceptable models obtained in Fig. B.1, while the blue shading indicates the density of overlapping acceptable models.

Current usage metrics show cumulative count of Article Views (full-text article views including HTML views, PDF and ePub downloads, according to the available data) and Abstracts Views on Vision4Press platform.

Data correspond to usage on the plateform after 2015. The current usage metrics is available 48-96 hours after online publication and is updated daily on week days.

Initial download of the metrics may take a while.