Open Access

Fig. 1

image

Download original image

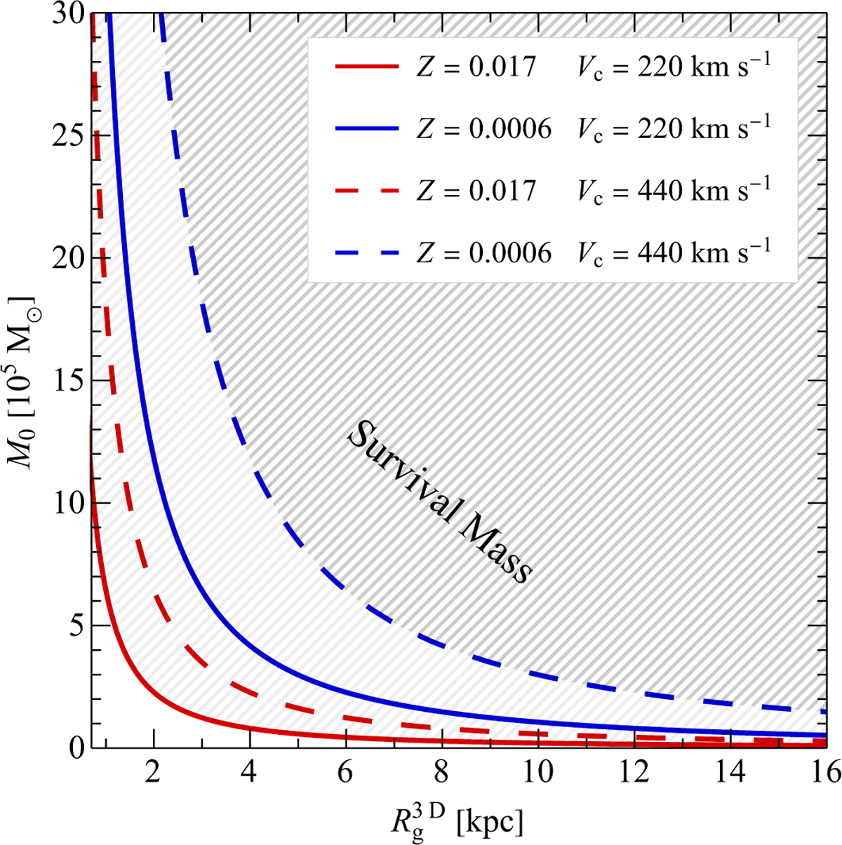
Minimum prestellar evolution mass (M0) required for GCs to survive over Hubble time (τ ≥ 13.8 Gyr), shown as a function of Rg3D$R_{\rm{g}}^{{\rm{3D}}}$ Results are presented for Z = 0.0006 (blue) and 0.017 (red) in host galaxies with circular velocities of Vc = 220 (solid lines) and 440 km s−1 (dashed lines). Each curve represents the survival mass threshold; GCs with M0 above the corresponding curve (shaded region) remain bound over Hubble time.

Current usage metrics show cumulative count of Article Views (full-text article views including HTML views, PDF and ePub downloads, according to the available data) and Abstracts Views on Vision4Press platform.

Data correspond to usage on the plateform after 2015. The current usage metrics is available 48-96 hours after online publication and is updated daily on week days.

Initial download of the metrics may take a while.