Open Access

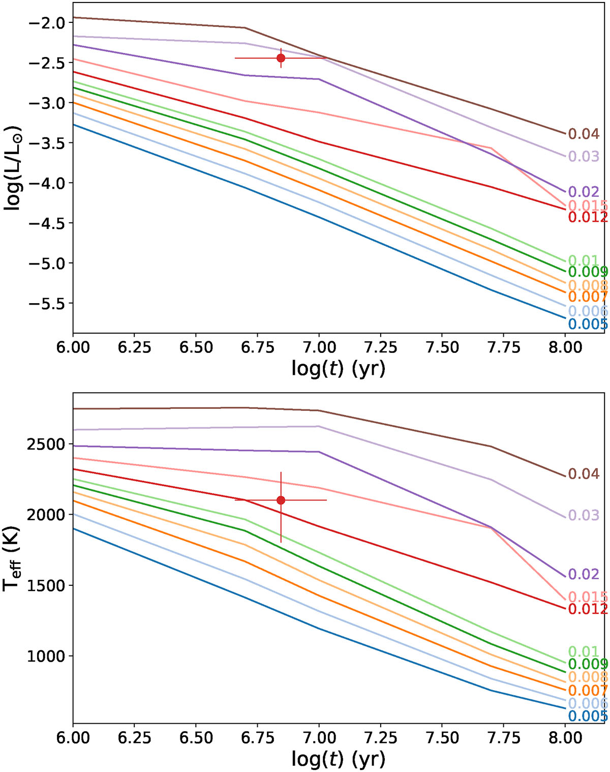
Fig. D.1.

image

Download original image

Evolutionary tracks from the model of Baraffe et al. (2003) showing the temporal evolution of (top) the luminosity and (bottom) the effective temperature (Teff) for cool brown dwarfs and giant exoplanets. Each curve corresponds to a specific mass (in M), as labelled at the end of the tracks. The red data point represents the companion V2376 Ori b, plotted with its age and luminosity (top panel), and its effective temperature (bottom panel), with associated uncertainties, using the black body model fitted to the SED.

Current usage metrics show cumulative count of Article Views (full-text article views including HTML views, PDF and ePub downloads, according to the available data) and Abstracts Views on Vision4Press platform.

Data correspond to usage on the plateform after 2015. The current usage metrics is available 48-96 hours after online publication and is updated daily on week days.

Initial download of the metrics may take a while.