Open Access

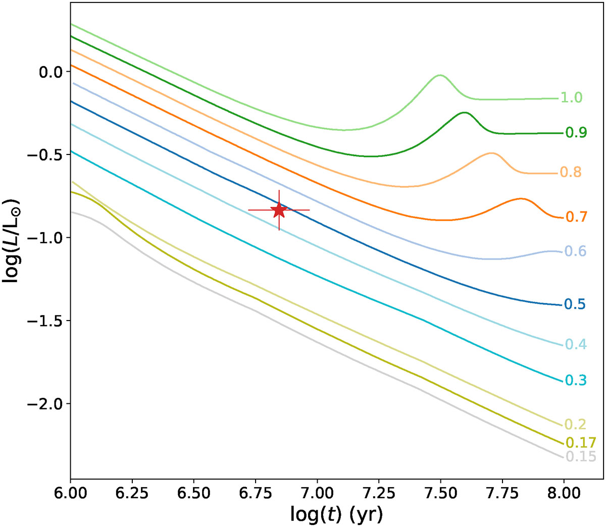
Fig. F.1.

image

Download original image

Evolutionary tracks from the model of Baraffe et al. (2015) showing the temporal evolution of the luminosity for low-mass stars. Each curve corresponds to a specific mass (in M), as labelled at the end of the tracks. The red star marker represents the primary V2376 Ori, plotted with its age and luminosity, with associated uncertainties. Its luminosity is computed from the SED.

Current usage metrics show cumulative count of Article Views (full-text article views including HTML views, PDF and ePub downloads, according to the available data) and Abstracts Views on Vision4Press platform.

Data correspond to usage on the plateform after 2015. The current usage metrics is available 48-96 hours after online publication and is updated daily on week days.

Initial download of the metrics may take a while.