Open Access

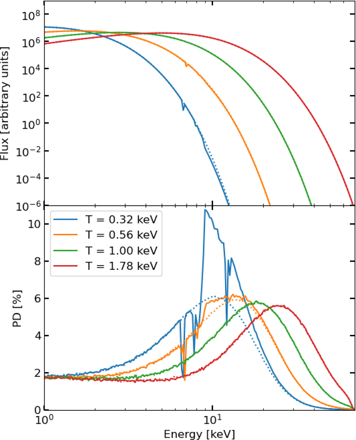
Fig. 2.

image

Download original image

Simulated spectrum and PD in the high-ionization regime under PIE (solid lines), viewed at an inclination angle of 75° relative to the slab normal. Results are shown for different temperatures of the blackbody radiation, TBB = 0.32 (cyan), 0.56 (orange), 1.0 (green), and 1.78 keV (red), with the slab density adjusted to maintain a constant ionization parameter of log ξ ∼ 6 (see equation 2). Dotted lines represent simulations for the same values of the parameters but with all interactions except scattering processes artificially turned off in STOKES.

Current usage metrics show cumulative count of Article Views (full-text article views including HTML views, PDF and ePub downloads, according to the available data) and Abstracts Views on Vision4Press platform.

Data correspond to usage on the plateform after 2015. The current usage metrics is available 48-96 hours after online publication and is updated daily on week days.

Initial download of the metrics may take a while.