Open Access

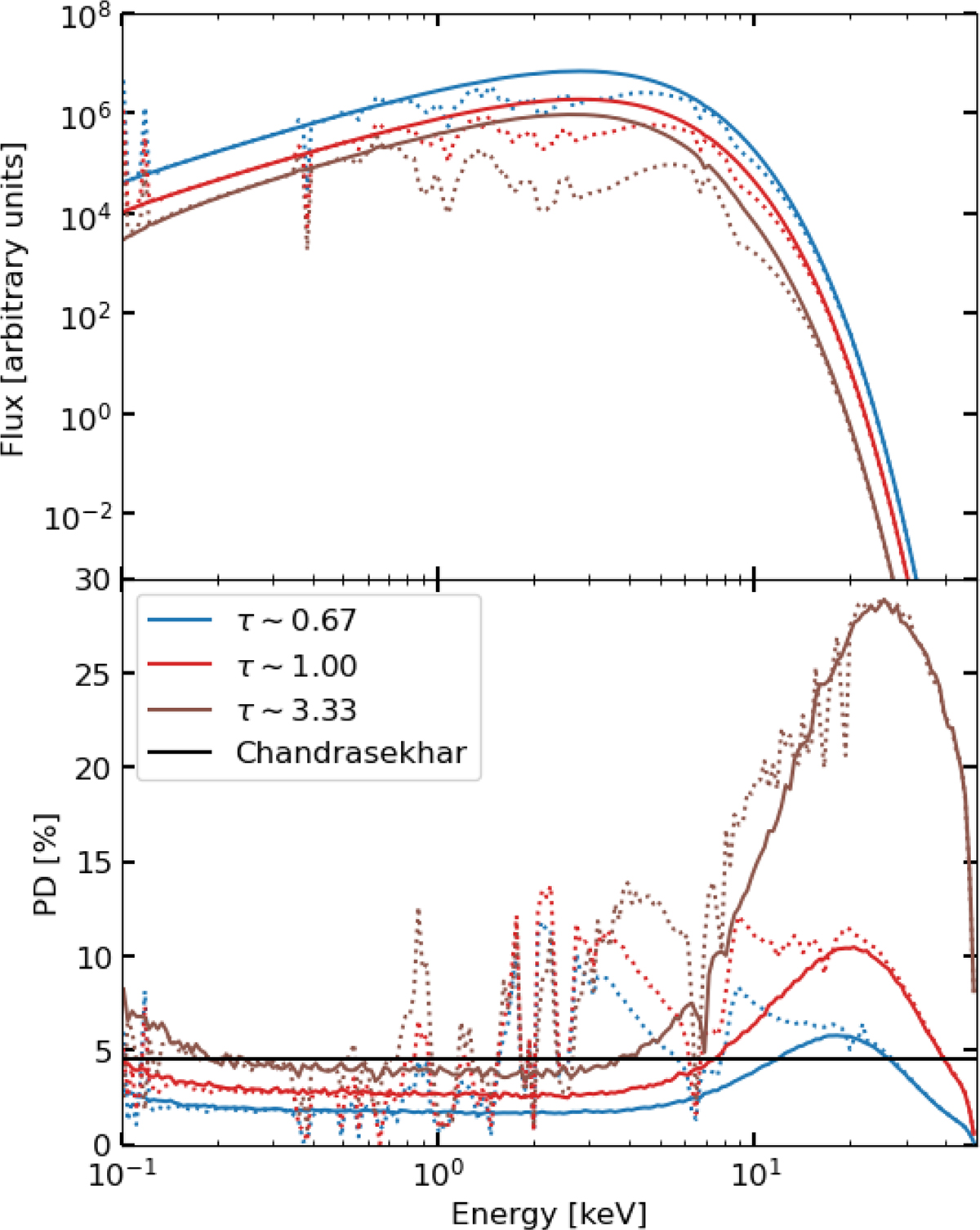
Fig. 3.

image

Download original image

Spectrum and PD for radiation emerging at an inclination angle 75° for different optical depths, τ = 0.67 (cyan), 1 (red), and 3.33 (brown). The blackbody temperature is fixed at TBB = 1 keV, with a slab density nH = 1019 cm−3. Solid (dotted) lines depict the results for a slab in the PIE (CIE) configuration. The horizontal black line marks the value predicted by Chandrasekhar (1960) computations for a 75° inclination angle.

Current usage metrics show cumulative count of Article Views (full-text article views including HTML views, PDF and ePub downloads, according to the available data) and Abstracts Views on Vision4Press platform.

Data correspond to usage on the plateform after 2015. The current usage metrics is available 48-96 hours after online publication and is updated daily on week days.

Initial download of the metrics may take a while.