Open Access

Fig. 4.

image

Download original image

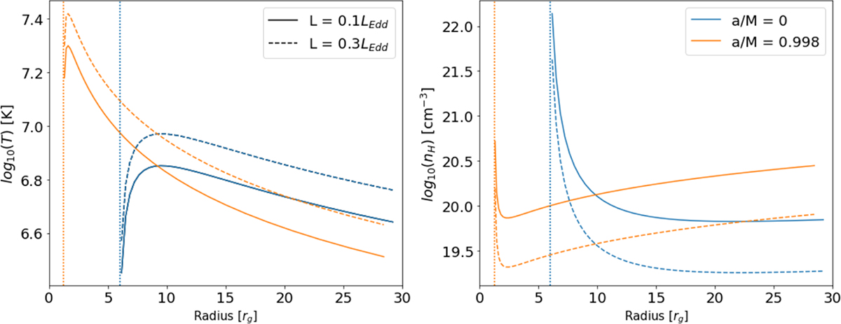
Radial profiles of the disk surface temperature (left) and density (right) used in CLOUDY computations (see equation 1 and equations (A1)-(A3) in Taverna et al. (2021)) for a nonrotating BH (cyan) and a maximally rotating BH (orange), and for two values of the mass accretion rate, = 0.1 (solid) and 0.3 Edd (dashed). In both cases, a BH mass of 10 M and a hardening factor of fcol = 1.8 are considered. The vertical dotted lines indicate the location of the ISCO for the two spin values.

Current usage metrics show cumulative count of Article Views (full-text article views including HTML views, PDF and ePub downloads, according to the available data) and Abstracts Views on Vision4Press platform.

Data correspond to usage on the plateform after 2015. The current usage metrics is available 48-96 hours after online publication and is updated daily on week days.

Initial download of the metrics may take a while.